Вернуться к содержанию учебника
Проверьте себя
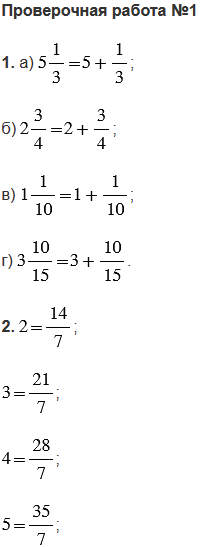
Проверочная работа №1
1. Представьте в виде суммы целой и дробной частей смешанное число:

2. Представьте в виде неправильной дроби со знаменателем 7 число:
2; 3; 4; 5; 6; 7.
3. Представьте в виде смешанного числа дробь:

4. Два мальчика поймали 7 кг рыбы и разделили улов поровну. Сколько килограммов рыбы досталось каждому мальчику?
Проверочная работа №2
1. Представьте в виде неправильной дроби смешанное число:

2. Представьте в виде смешанного число и переведите в неправильную дробь сумму:

3. Сложите и выразите в метрах:

Вспомните:
стр. 47 учебника 2023-2026:



Пояснения:
1. Натуральное число или число ноль - целая часть смешанного числа, правильная дробь - дробная часть смешанного числа.
2. Любое натуральное число можно представить в виде неправильной дроби с каким угодно знаменателем, для этого используем то, что деление можно заменить дробью, числитель которой - делимое, а знаменатель - делитель. То есть, чтобы получить числитель неправильной дроби, нужно знаменатель неправильной дроби умножить на число, которое мы записываем в виде неправильной дроби.
3. Чтобы из неправильной дроби выделить целую часть, надо:
4. Разделить поровну между двумя мальчика - разделить на 2.
стр. 47 учебника 2023-2026:


Пояснения:
Натуральное число или число ноль - целая часть смешанного числа, правильная дробь - дробная часть смешанного числа.
Чтобы преобразовать смешанное число в неправильную дробь, надо целую часть числа умножить на знаменатель дробной части и к полученному произведению прибавить числитель дробной части; эту сумму записать как числитель неправильной дроби, а в ее знаменатель записать знаменатель дробной части смешанного числа.
Чтобы найти сумму двух дробей с одинаковыми знаменателями, нужно сложить их числители, а знаменатель оставить прежним.
Дробь, у которой числитель и знаменатель одинаковые числа, равна единице.
Вернуться к содержанию учебника