Вернуться к содержанию учебника
№5.293 учебника 2023-2024 (стр. 51):
№5.293 учебника 2021-2022 (стр. 51):
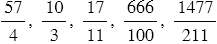
а) Представьте в виде смешанного числа дроби
и 
б) Запишите в виде неправильной дроби смешанные числа
и 
№5.293 учебника 2023-2024 (стр. 51):
№5.293 учебника 2021-2022 (стр. 51):
Вспомните:
№5.293 учебника 2023-2024 (стр. 51):
№5.293 учебника 2021-2022 (стр. 51):


Пояснения:
Чтобы неправильную дробь, числитель которой нацело не делится на знаменатель, преобразовать в смешанное число, надо числитель разделить на знаменатель; полученное неполное частное записать как целую часть смешанного числа, а остаток - как числитель его дробной части.
Чтобы преобразовать смешанное число в неправильную дробь, надо целую часть числа умножить на знаменатель дробной части и к полученному произведению прибавить числитель дробной части; эту сумму записать как числитель неправильной дроби, а в ее знаменатель записать знаменатель дробной части смешанного числа.
Вернуться к содержанию учебника