Вернуться к содержанию учебника
Вопросы и задачи на повторение. Задачи. Страница 151
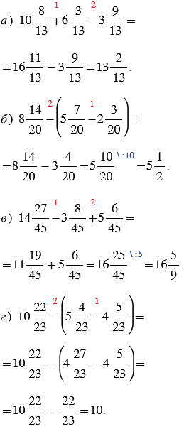
№П.85 учебника 2021-2022 (стр. 151):
Вычислите:

№П.85 учебника 2021-2022 (стр. 151):
Вспомните:
№П.85 учебника 2021-2022 (стр. 151):

Пояснения:
Действиями первой ступени называют сложение и вычитание чисел, а действиями второй ступени - умножение и деление чисел.
При вычислении значений выражений порядок выполнения действий определяют следующие правила:
1. Если выражение содержит только действия одной ступени и в нем нет скобок, то действия выполняют по порядку слева направо.
2. Если в выражении есть скобки, то сначала выполняют действия в скобках.
Красные числа, стоящие сверху над действиями, показывают в каком порядке нужно выполнять действия.
Правила, по которым выполнены вычисления, смотрите в подсказке.
Вернуться к содержанию учебника