Задание 5.525 - ГДЗ Математика 5 класс. Виленкин, Жохов. Учебник часть 2. Страница 84

Старая и новая редакции

Вернуться к содержанию учебника

5.522 5.523 5.524 5.525 5.526 5.527 5.528

Вопрос

№5.525 учебника 2023-2026 (стр. 84):

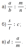
Представьте в виде дроби частное:

Подсказка

№5.525 учебника 2023-2026 (стр. 84):

Вспомните:

  1. Деление обыкновенных дробей.
  2. Взаимно обратные числа, умножение обыкновенных дробей.

Ответ

№5.525 учебника 2023-2026 (стр. 84):


Вернуться к содержанию учебника