Задание 5.544 - ГДЗ Математика 5 класс. Виленкин, Жохов. Учебник часть 2. Страница 86

Старая и новая редакции

Вернуться к содержанию учебника

5.541 5.542 5.543 5.544 5.545 5.546 5.547

Вопрос

№5.544 учебника 2023-2026 (стр. 86):

Решите уравнение:

Подсказка

№5.544 учебника 2023-2026 (стр. 86):

Вспомните:

  1. Что называют уравнением, его корни.
  2. Деление обыкновенных дробей.
  3. Умножение обыкновенных дробей, взаимно обратные числа.
  4. Сложение дробей с одинаковыми знаменателями.
  5. Сокращение дробей.
  6. Неправильные дроби.

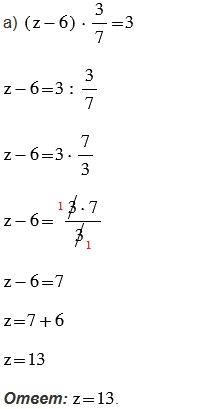
Ответ

№5.544 учебника 2023-2026 (стр. 86):


Вернуться к содержанию учебника