Вернуться к содержанию учебника
№4.45 учебника 2023-2024 (стр. 17):
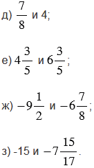
Запишите множество целых чисел, расположенных на координатной прямой между числами:
а) -9 и -6;
б) -4 и 0;
в) -3 и 3;
г) -5,7 и 6,1;

№4.45 учебника 2023-2024 (стр. 17):
Вспомните:
№4.45 учебника 2023-2024 (стр. 17):

Пояснения:
Целые числа - это все натуральные числа, противоположные им числа и ноль.
Словом "множество" в математическом языке обозначают любую совокупность объектов или предметов, объединенных каким-либо общим признаком.
Для записи множества с помощью перечисления элементов используют фигурные скобки.
Вернуться к содержанию учебника