Задание 4.71 - ГДЗ Математика 6 класс. Виленкин, Жохов. Учебник часть 2. Страница 21

Старая и новая редакции

Вернуться к содержанию учебника

4.68 4.69 4.70 4.71 4.72 4.73 4.74

Вопрос

№4.71 учебника 2023-2026 (стр. 21):

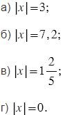
Запишите множество точек с координатой , если:

Подсказка

Ответ

№4.71 учебника 2023-2026 (стр. 21):


Вернуться к содержанию учебника