Вернуться к содержанию учебника
№4.101 учебника 2023-2026 (стр. 25):
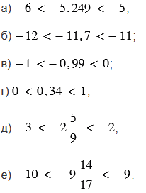
В виде двойного неравенства запишите, между какими соседними целыми числами на координатной прямой лежит число:
а) -5,249;
б) -11,7;
в) -0,99;
г) 0,34;

№4.101 учебника 2023-2026 (стр. 25):
Вспомните:
№4.101 учебника 2023-2026 (стр. 25):

Пояснения:
При сравнении чисел опираемся на следующие правила:
Вернуться к содержанию учебника