Вернуться к содержанию учебника
№4.145 учебника 2023-2026 (стр. 35):
Сложите числа:
а) 5 и 0;
б) 0 и -7;
в) -9,3 и 0;
г) -14 и 14;
д) 10,5 и -10,5;
е) 0 и -7,4;

№4.145 учебника 2023-2026 (стр. 35):
Вспомните:
№4.145 учебника 2023-2026 (стр. 35):
а) 5 + 0 = 5
б) 0 + (-7) = -7
в) -9,3 + 0 = -9,3
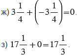
г) -14 + 14 = 0.
д) 10,5 + (-10,5) = 0.
е) 0 + (-7,4) = -7,4

Пояснения:
При выполнении сложения опираемся на следующие правила:
Противоположные числа - это два числа, которые отличаются друг от друга только знаками.
Вернуться к содержанию учебника