Задание 4.342 - ГДЗ Математика 6 класс. Виленкин, Жохов. Учебник часть 2. Страница 64

Старая и новая редакции

Вернуться к содержанию учебника

4.339 4.340 4.341 4.342 4.343 4.344 4.345

Вопрос

№4.342 учебника 2023-2026 (стр. 64):

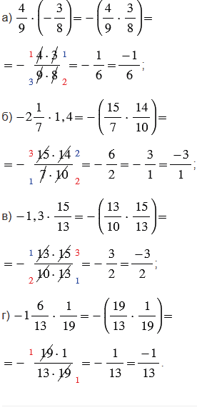
Значение выражения представьте в виде , где - целое числа, а - натуральное число:

Подсказка

№4.342 учебника 2023-2026 (стр. 64):

Ответ

№4.342 учебника 2023-2026 (стр. 64):


Вернуться к содержанию учебника