Вернуться к содержанию учебника
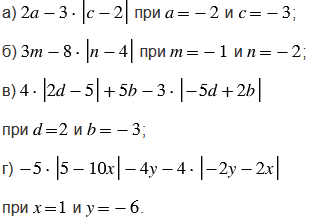
№4.352 учебника 2023-2024 (стр. 65):
Найдите значение выражения:

№4.352 учебника 2023-2024 (стр. 65):
Вспомните:
№4.352 учебника 2023-2024 (стр. 65):


Пояснения:
Если в выражении есть модуль, то сначала выполняют вычисления в модуле и от полученного после вычислений значения находят модуль.
Затем порядок выполнения действий определяет следующее правило: если в выражении нет скобок (скобки, которые определяют отрицательное число не учитываем) и оно содержит действия первой (сложение и вычитание) и второй (умножение и деление) ступени, то сначала выполняют действия второй ступени по порядку слева направо, а потом действия первой ступени, также по прядку слева направо.
При выполнении вычислений помним:
1) чтобы сложить два числа с разными знаками, надо: найти модули слагаемых; из большего модуля вычесть меньший модуль; перед полученным числом поставить знак слагаемого с большим модулем;
2) чтобы сложить два отрицательных числа, надо: найти модули слагаемых; сложить модули слагаемых; перед полученным числом поставить знак "-";
3) чтобы из данного числа вычесть другое, надо к уменьшаемому прибавить число, противоположное вычитаемому;
4) чтобы перемножить два числа с разными знаками, надо умножить их модули и перед полученным произведением поставить знак "-";
5) чтобы перемножить два отрицательных числа, надо перемножить их модули.
Вернуться к содержанию учебника