Вернуться к содержанию учебника
Проверьте себя
Проверочная работа
1. Раскройте скобки и вычислите:

2. Определите, какие знаки должны стоять в рамках, и вычислите:

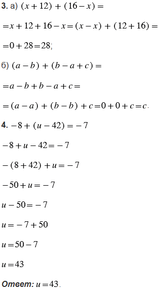
3. Составьте сумму выражений и упростите:

4. Решите уравнение:

Вспомните:


Пояснения:
При раскрытии скобок помним:
Затем применяем переместительное и сочетательное свойства сложения, то есть группируем слагаемые так, чтобы вычисления были проще.
При решении уравнения помним,чтобы найти неизвестное уменьшаемое, нужно к разности прибавить вычитаемое.
Вернуться к содержанию учебника