Вернуться к содержанию учебника
№5.57 учебника 2023-2026 (стр. 85):
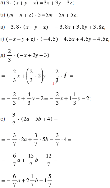
Раскройте скобки:

№5.57 учебника 2023-2026 (стр. 85):
Вспомните:
№5.57 учебника 2023-2026 (стр. 85):

Пояснения:
Чтобы раскрыть скобки, нужно множитель, стоящий за скобками, умножить на каждое слагаемое, стоящее в скобках.
Обратите внимание, если множитель, стоящий за скобками положительный, то знак произведения совпадает со знаком, стоящим перед числом в скобках, если же множитель, стоящий за скобками отрицательный, то знак произведения противоположен знаку, стоящему перед числом в скобках.
Правила, по которым выполнено умножение, смотрите в подсказке.
Вернуться к содержанию учебника