Задание 5.72 - ГДЗ Математика 6 класс. Виленкин, Жохов. Учебник часть 2. Страница 87

Старая и новая редакции

Вернуться к содержанию учебника

5.69 5.70 5.71 5.72 5.73 5.74 5.75

Вопрос

№5.72 учебника 2023-2026 (стр. 87):

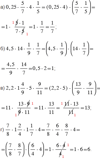
Найдите произведение:

Подсказка

№5.72 учебника 2023-2026 (стр. 87):

Ответ

№5.72 учебника 2023-2026 (стр. 87):


Пояснения:

При вычислениях используем переместительное и сочетательное свойства умножения, то есть группируем множители так, чтобы вычисления были проще.

Правила, по которым выполнены вычисления, смотрите в подсказке.


Вернуться к содержанию учебника