Вернуться к содержанию учебника
№6.101 учебника 2023-2026 (стр. 115):
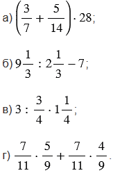
Найдите значение выражения:

№6.101 учебника 2023-2026 (стр. 115):
Вспомните:
№6.101 учебника 2023-2026 (стр. 115):

Пояснения:
В пунктах а) и г) для упрощения вычислений применяем распределительное свойство умножения. В пункте а) раскрываем скобки, умножая каждый компонент на множитель, стоящий за скобками, и затем складываем полученные произведения, а в пункте г), наоборот, выносим общий множитель за скобки, выполняем вычисления в скобках и умножаем полученный результат на вынесенный множитель.
В пункте б) сначала выполняем деление, а затем вычитание.
В пункте в) действия выполняем по порядку слева направо.
Правила, по которым выполнены вычисления, смотрите в подсказке.
Вернуться к содержанию учебника