Вернуться к содержанию учебника
Вопросы и задачи на повторение. Вопросы. Страница 124
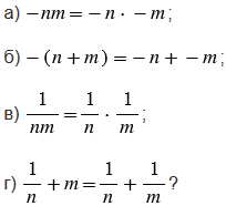
№В.7 учебника 2023-2026 (стр. 124):
Справедливо ли для всех рациональных чисел
и
:

№В.7 учебника 2023-2026 (стр. 124):
Вспомните:
Вернуться к содержанию учебника