Вернуться к содержанию учебника
Вопросы и задачи на повторение. Задачи. Страница 134
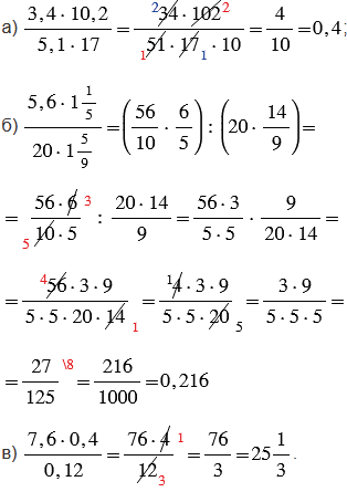
№П.80 учебника 2023-2026 (стр. 134):
Вычислите:

№П.80 учебника 2023-2026 (стр. 134):
Вспомните:
№П.80 учебника 2023-2026 (стр. 134):

Пояснения:
Частное двух чисел или выражений, в котором знак деления обозначен чертой, называют дробным выражением.
Если числитель и знаменатель дробного выражения разделить или умножить на одно и то же число отличное от нуля, то получим дробное выражение, равное данному. Данное свойство часто используют, когда преобразуют дробное выражение с десятичными дробями в обыкновенную дробь. Для этого мы переносим запятую в числителе и знаменателе дробного выражения на одинаковое количество цифр вправо, при этом если в одном числе цифр после запятой больше, чем в другом, то переносим запятую на большее количество цифр, а там где цифр после запятой меньше дописываем нули или умножение на 10, 100 и т.д.
Вернуться к содержанию учебника