Задание 4.51 - ГДЗ Математика 6 класс. Виленкин, Жохов. Учебник часть 2. Страница 17

Старая и новая редакции

Вернуться к содержанию учебника

4.48 4.49 4.50 4.51 4.52 4.53 4.54

Вопрос

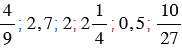
№4.51 учебника 2021-2022 (стр. 17):

Найдите пары взаимно обратных чисел .

Подсказка

№4.51 учебника 2021-2022 (стр. 17):

Ответ

№4.51 учебника 2021-2022 (стр. 17):


Вернуться к содержанию учебника