Вернуться к содержанию учебника
№4.281 учебника 2021-2022 (стр. 53):
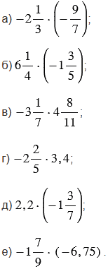
Найдите значение произведения:

№4.281 учебника 2021-2022 (стр. 53):
Вспомните:
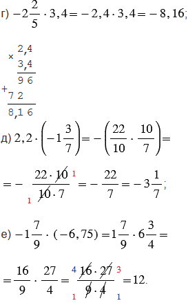
№4.281 учебника 2021-2022 (стр. 53):


Пояснения:
При выполнении вычислений опираемся на следующие правила:
1) чтобы перемножить два числа с разными знаками, надо умножить их модули и перед полученным произведением поставить знак " - ", то есть произведение двух чисел с разными знаками является отрицательным числом;
2) чтобы перемножить два отрицательных числа, надо перемножить их модули, то есть произведение двух отрицательных чисел является положительным числом.
Правила вычислений с дробями смотрите в подсказке.
Вернуться к содержанию учебника