Задание 4.313 - ГДЗ Математика 6 класс. Виленкин, Жохов. Учебник часть 2. Страница 58

Старая и новая редакции

Вернуться к содержанию учебника

4.310 4.311 4.312 4.313 4.314 4.315 4.316

Вопрос

№4.313 учебника 2021-2022 (стр. 58):

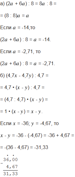
Найдите значение выражения:

а) (2 + 6) : 8 при = -14; = -2,71;

б) (4,7 - 4,7) : 4,7 при = -36; = -4,67.

Подсказка

Ответ

№4.313 учебника 2021-2022 (стр. 58):


Вернуться к содержанию учебника