Вернуться к содержанию учебника
№4.333 учебника 2021-2022 (стр. 61):
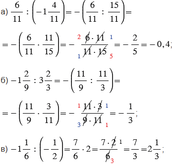
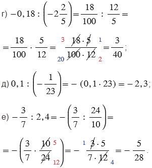
Найдите частное:

№4.333 учебника 2021-2022 (стр. 61):
Вспомните:
№4.333 учебника 2021-2022 (стр. 61):


Пояснения:
Чтобы найти частное двух чисел с разными знаками, надо разделить модуль делимого на модуль делителя и поставить перед полученным числом знак "-".
Чтобы найти частное двух отрицательных чисел, надо разделить модуль делимого на модуль делителя.
Правила, по которым выполнены вычисления с дробями, смотрите в подсказке.
Вернуться к содержанию учебника