Задание 4.378 - ГДЗ Математика 6 класс. Виленкин, Жохов. Учебник часть 2. Страница 69

Старая и новая редакции

Вернуться к содержанию учебника

4.375 4.376 4.377 4.378 4.379 4.380 4.381

Вопрос

№4.378 учебника 2021-2022 (стр. 69):

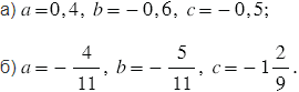
Проверьте распределительное свойство умножения относительно сложения 

Подсказка

№4.378 учебника 2021-2022 (стр. 69):

Вспомните:

  1. Распределительное свойство умножения рациональных чисел.
  2. Умножение рациональных чисел.
  3. Модуль числа.
  4. Сложение рациональных чисел.
  5. Умножение десятичных дробей.
  6. Сложение и вычитание десятичных дробей.
  7. Умножение обыкновенных дробей.
  8. Преобразование смешанных чисел.
  9. Неправильные дроби.
  10. Сложение дробей с одинаковыми знаменателями.
  11. Сокращение дробей.

Ответ

№4.378 учебника 2021-2022 (стр. 69):



Вернуться к содержанию учебника