Вернуться к содержанию учебника
№5.8 учебника 2021-2022 (стр. 78):
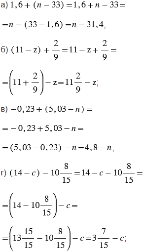
Упростите выражение:

№5.8 учебника 2021-2022 (стр. 78):
Вспомните:
№5.8 учебника 2021-2022 (стр. 78):


Пояснения:
Числовое выражение содержащее только знаки сложения и вычитания, можно представить как сумму. Такое выражение называют алгебраической суммой.
Сначала в каждом выражении раскрываем скобки, при этом помним:
Затем применяем переместительное и сочетательное свойства сложения, то есть группируем слагаемые так, чтобы можно было упростить выражение.
Правила, по которым выполнены вычисления, смотрите в подсказке.
Вернуться к содержанию учебника