Задание 5.99 - ГДЗ Математика 6 класс. Виленкин, Жохов. Учебник часть 2. Страница 92

Старая и новая редакции

Вернуться к содержанию учебника

5.96 5.97 5.98 5.99 5.100 5.101 5.102

Вопрос

№5.99 учебника 2021-2022 (стр. 92):

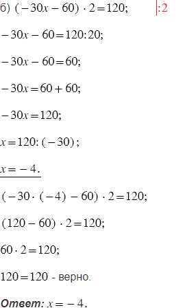
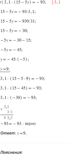
Найдите корень уравнения и выполните проверку:

Подсказка

№5.99 учебника 2021-2022 (стр. 92):

Ответ

№5.99 учебника 2021-2022 (стр. 92):


Вернуться к содержанию учебника