стр. 95-96. Проверьте себя - ГДЗ Математика 6 класс. Виленкин, Жохов. Учебник часть 2

Старая и новая редакции

Вернуться к содержанию учебника

Проверьте себя

стр. 81 стр. 84 стр. 89 стр. 95-96 стр. 104 стр. 109 стр. 119

Вопрос

Проверочная работа №1

Решение уравнений

Запишите уравнение и решите его:

1. Разность "икс" и восьми равна девяти.

2. Сумма "игрек" и трех равна минус семи.

3. Минус два "икс" равны минус шести.

4. Решите уравнение 5 = 3 + 16.

5. Является ли линейным уравнение в задании 4?

6. Изменятся ли корни уравнения, если к обеим его частям прибавить одно и то же число?

Верно ли высказывание (ответьте да или нет)?

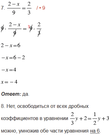
7. Решить уравнение - значит найти все его корни или убедиться, что корней нет.

8. Если обе части уравнения умножить на одно и то же число, не равное нулю, то корни уравнения не изменятся.

Вопрос

Проверочная работа №2

Решение уравнений

Запишите уравнение и решите его:

1. Два "икс" равны разности "икс" и шести.

2. Сумма одной третьей "игрек" и единицы равна минус двум.

3. Разность пяти "икс" и двадцати одного равна двум "икс".

4. Решите уравнение 3 - 4 = + 8.

5. Является ли линейным уравнение в задании 4?

6. Составьте уравнение для решения задачи: "На одной полке "икс" книг, а на другой - втрое больше. Если со второй полки переложить на первую пятнадцать книг, то на этих полках книг станет поровну. Сколько книг на каждой полке?"

Верно ли высказывание (ответьте да или нет)?

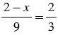
7. Корень уравнения  - число минус четыре.

8. Освободиться от всех дробных коэффициентов в уравнении  можно, умножив обе части уравнения на три.

Подсказка

Вспомните:

  1. Решение уравнений.
  2. Как найти неизвестный множитель.
  3. Подобные слагаемые.
  4. Сложение рациональных чисел.
  5. Вычитание рациональных чисел.
  6. Деление рациональных чисел.

Ответ

стр. 95-96 учебника 2021-2022:


стр. 95-96 учебника 2021-2022:


Вернуться к содержанию учебника