Вернуться к содержанию учебника
Вопросы и задачи на повторение. Задачи. Страница 129
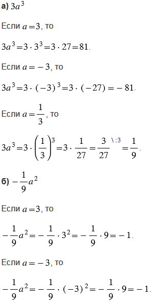
№П.29 учебника 2021-2022 (стр. 129):
Вычислите значение выражения при
= 3,
= - 3,
=
:

№П.29 учебника 2021-2022 (стр. 129):
Вспомните:
№П.29 учебника 2021-2022 (стр. 129):



Пояснения:
Чтобы найти значение буквенного выражения при заданном числовом значении буквы, нужно в это выражение вместо буквы подставить число, ей соответствующее, и выполнить вычисления.
Правила, по которым выполнены вычисления, смотрите в подсказке.
Вернуться к содержанию учебника