Вернуться к содержанию учебника
Выберите год учебника
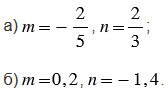
№41 учебника 2023-2026 (стр. 16):
Найдите значение выражения
, если:

№41 учебника 2013-2022 (стр. 12):
Составьте формулу числа:
а) кратного 5;
б) кратного 10;
в) кратного 101.
№41 учебника 2023-2026 (стр. 16):
Вспомните:
№41 учебника 2013-2022 (стр. 12):
Вспомните:
Вернуться к содержанию учебника