Вернуться к содержанию учебника
Выберите год учебника
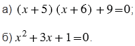
№236 учебника 2023-2026 (стр. 49):
Может ли иметь положительный корень уравнение:

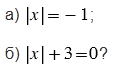
№236 учебника 2013-2022 (стр. 52):
Почему не имеет корней уравнение:

№236 учебника 2023-2026 (стр. 49):
Вспомните:
№236 учебника 2013-2022 (стр. 52):
Вспомните:
Вернуться к содержанию учебника