Вернуться к содержанию учебника
№316 учебника 2023-2026 (стр. 79):
№316 учебника 2013-2022 (стр. 79):
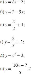
Является ли линейной функция, заданная формулой:

№316 учебника 2023-2026 (стр. 79):
№316 учебника 2013-2022 (стр. 79):
Вспомните, какая зависимость называется линейной функцией.
Вернуться к содержанию учебника