Вернуться к содержанию рабочей тетради
Выберите год рабочей тетради
Стр. 6 рабочей тетради 2023-2026:
Пассажирский поезд состоял из 19 вагонов. От него отцепили 7 вагонов. На сколько больше вагонов осталось, чем отцепили?

Стр. 6 рабочей тетради 2011-2022:


Чтобы найти неизвестное слагаемое, нужно из суммы вычесть известное слагаемое.
Стр. 6 рабочей тетради 2023-2026:
Вариант ответа #1:
Решение

Пояснение
Чтобы узнать, на сколько одно число больше или меньше другого, нужно из большего числа вычесть меньшее.
Вариант ответа #2:
Решение
1) 19 - 7 = 12 (в.)
2) 12 - 7 = 5 (в.)
Ответ: на 5 вагонов больше осталось.
Пояснение

Стр. 6 рабочей тетради 2011-2022:
Вариант ответа #1:

Пояснение
9 + 6 = 15
54 - 50 = 4
68 - 48 = 20
80 + 20 = 100
30 - 24 = 6
7 + 33 = 40
40 - 10 = 30
100 - 50 = 50
Вариант ответа #2:

Выберите год рабочей тетради
Стр. 6 рабочей тетради 2023-2026:
Через несколько минут после начала игры в шашки на доске осталось 7 белых шашек, а чёрных на 2 шашки меньше. Сколько всего шашек осталось на доске?

Стр. 6 рабочей тетради 2011-2022:
Выполни вычисления или запиши такие пропущенные числа, чтобы получились верные равенства.

Повтори случаи табличного сложения и вычитания.
Запись, в которой есть знак РАВНО, называется РАВЕНСТВОМ.
Запись, в которой есть знак БОЛЬШЕ или МЕНЬШЕ, называется НЕРАВЕНСТВОМ.
Стр. 6 рабочей тетради 2023-2026:
Решение

Пояснение

Стр. 6 рабочей тетради 2011-2022:
Решение

Пояснение
|
42 + 5 = (40 + 2) + 5 = 40 + (2 + 5) = 40 + 7 = 47 |
87 - 6 = (80 + 7) - 6 = 80 + (7 - 6) = 80 + 1 = 81 |
|
34 + 3 = 30 + (4 + 3) = 30 + 7 = 37 |
59 - 4 = 50 + (9 - 4) = 50 + 5 = 55 |
|
62 + 8 = 60 + (2 + 8) = 60 + 10 = 70 |
90 - 7 = 80 + (10 - 7) = 80 + 3 = 83 |
|
15 - 5 + 6 = 10 + 6 = 16 |
|
|
23 - 20 + 8 = 3 + 8 = 3 + 7 + 1 = 10 + 1 = 11 |
|
|
36 - 30 + 9 = 6 + 9 = 6 + 4 + 5 = 10 + 5 = 15 |
|
Выберите год рабочей тетради
Стр. 6 рабочей тетради 2023-2026:
Вычисли значение каждого выражения и запиши соответствующую ему букву в последней таблице. Расшифруй название басни.

Стр. 6 рабочей тетради 2011-2022:
Запиши знаки действий "+" и "-" и, если надо, расставь скобки так, чтобы получились верные равенства.

Стр. 6 рабочей тетради 2023-2026:
Решение

Пояснение
8 + 9 = 17 - буква Е
16 - 9 = 7 - буква В
28 - 8 = 20 - буква Р
5 + 7 = 12 - буква А
13 - 5 = 8 - буква Т
34 - 20 = 14 - буква К

Стр. 6 рабочей тетради 2011-2022:
Вариант ответа #1:
Решение

Пояснение
|
11 - 7 + 8 = 4 + 8 = 12 |
50 + 35 - 10 = 85 - 10 = 75 |
|
16 - 8 + 7 = 8 + 7 = 15 |
75 - 20 + 40 = 55 + 40 = 95 |
|
8 + 9 - 10 = 17 - 10 = 7 |
80 - 50 - 30 = 30 - 30 = 0 |
Вариант ответа #2:

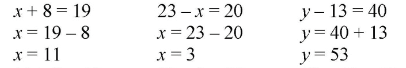
Реши уравнения.

Решить уравнение – это значит найти такое значение неизвестного числа, при котором это равенство станет верным.
Чтобы найти неизвестное вычитаемое, нужно из уменьшаемого вычесть разность.
Чтобы найти уменьшаемое, нужно к разности прибавить вычитаемое.
Чтобы найти неизвестное слагаемое, нужно из суммы вычесть известное слагаемое.
Вернуться к содержанию рабочей тетради