Вернуться к содержанию учебника
1. Вычисли с устным объяснением.
| 570 + 240 | 760 - 480 | 320 - 160 |
| 360 + 170 | 540 + 290 | 430 + 180 |
Повтори, как складывать и вычитать трёхзначные числа.
Решение
| 570 + 240 = 810 | 540 + 290 = 830 |
| 360 + 170 = 530 | 320 - 160 = 160 |
| 760 - 480 = 280 | 430 + 180 = 610 |
Пояснение
|
(570 + 200) + 40 = 770 + 40 = 810 или (500 + 200) + (70 + 40) = 700 + 110 = 810 |
|
(360 + 100) + 70 = 460 + 70 = 530 или (300 + 100) + (60 + 70) = 400 + 130 = 530 |
|
(760 - 400) - 80 = 360 - 80 = 280 |
|
(540 + 200) + 90 = 740 + 90 = 830 или (500 + 200) + (40 + 90) = 700 + 130 = 830 |
|
(320 - 100) - 60 = 220 - 60 = 160 |
|
(430 + 100) + 80 = 530 + 80 = 610 или (400 + 100) + (30 + 80) = 500 + 110 = 610 |
2. Дополни 600 г до 1 кг; 420 г до 500 г; 280 г до 300 г; 540 до 600 г.
Повтори меры массы: грамм и килограмм.
Вариант ответа #1:
Решение

Пояснение
600 + 400 = 6 сот. + 4 сот. = 10 сот. = 1 000
1 000 г = 1 кг
420 + 80 = 42 дес. + 8 дес. = 50 дес. = 500
280 + 20 = 28 дес. + 2 дес. = 30 дес. = 300
540 + 60 = 54 дес. + 6 дес. = 60 дес. = 600
Вариант ответа #2:
Решение
400 г; 80 г; 20 г; 60 г.
Пояснение
1) 1 кг = 1000 г
1000 - 600 = 400 г
2) 500 - 420 = 80 г
3) 300 - 280 = 20 г
4) 600 - 540 = 60 г
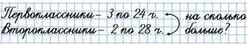
3. За неделю краеведческий музей посетили три первых класса, по 24 человека в каждом, и два вторых класса, по 28 человек в каждом. На сколько больше было на этой неделе в музее первоклассников, чем второклассников?
Повтори, как выполняется внетабличное умножение.
Решение
1) 24 • 3 = 72 (ч.) - первоклассников.
2) 28 • 2 = 56 (ч.) - второклассников.
3) 72 - 56 = 16 (ч.)
Ответ: на 16 первоклассников больше, чем второклассников.
Пояснение

Вычисления:
1) 24 • 3 = (20 + 4) • 3 = 20 • 3 + 4 • 3 =
= 60 + 12 = 72
2) 28 • 2 = (20 + 8) • 2 = 20 • 2 + 8 • 2 =
= 40 + 16 = 56
3) 72 - 56 = 16
| • | ||
| - | 7 | 2 |
| 5 | 6 | |
| 1 | 6 |
4. Школа, магазин и аптека расположены на одной стороне улицы. От школы до магазина 700 м, от магазина до аптеки на 400 м меньше. Какое расстояние от школы до аптеки? Сделай по условию разные чертежи и реши задачи.
5. Составь по таблице задачу и реши её.
| Изготавливали в час | Время работы | Всего изготовили |
| 30 деталей | 3 ч | ? |
| 40 деталей | 3 ч |
Вариант ответа #1:
Первый рабочий работает на старом станке и за час изготавливает 30 деталей, а второй рабочий работает на новом станке и за час изготавливает 40 деталей. Сколько деталей изготовят оба рабочих вместе за 3 часа?

Вариант ответа #2:
Утренняя смена рабочих работала 3 ч, изготавливая 30 деталей за час, а вечерняя смена изготовила за то же время работы 40 деталей. Сколько всего деталей изготовили за день?
1) 30 • 3 = 90 (д.) - утренняя смена.
2) 40 • 3 = 120 (д.) - вечерняя смена.
3) 90 + 120 = 210 (д.)
Ответ: 210 деталей изготовили за день.
6. Вычисли и сделай проверку.
| 400 + 270 | 160 - 90 | 27 • 3 | 98 : 14 |
Вспомни состав двузначных и трёхзначных чисел.
Вариант ответа #1:
Решение

Пояснение
Чтобы проверить сложение, можно использовать любой из следующих способов:
Чтобы проверить вычитание, можно использовать любой из следующих способов:
Чтобы проверить произведение, можно использовать любой из следующих способов:
Чтобы проверить деление, можно использовать любой из следующих способов:
Вариант ответа #2:
Решение
|
400 + 270 = 670 Проверка: 670 - 400 = 270 670 - 270 = 400 |
160 - 90 = 70 Проверка: 160 - 70 = 90 90 + 70 = 160 |
|
27 • 3 = 81 Проверка: 81 : 3 = 27 81 : 27 = 3 |
98 : 14 = 7 Проверка: 98 : 7 = 14 14 • 7 = 98 |
Пояснение
|
400 + 270 = (400 + 200) + 70 = = 600 + 70 = 670 Проверка: 670 - 400 = (600 - 400) + 70 = = 200 + 70 = 270 670 - 270 = (600 - 200) + (70 - 70) = 400 |
|
160 - 90 = (160 - 60) - 30 = 100 - 30 = 70 Проверка: 160 - 70 = (160 - 60) - 10 = 90 90 + 70 = (90 + 10) + 60 = 160 |
|
27 • 3 = (20 + 7) • 3 = 20 • 3 + 7 • 3 = 60 + 21 = 81 Проверка: 81 : 3 = (60 + 21) : 3 = 60 : 3 + 21 : 3 = 20 + 7 = 27 81 : 27 вычисляем путём подбора частного. 27 • 2 = 54, 54 < 81, значит число 2 не подходит; 27 • 3 = 81, 81 = 81, значит 3 - искомое частное. |
|
98 : 14 = вычисляем путём подбора частного. 14 • 2 = 28, 28 < 98, значит число 2 не подходит; 14 • 3 = 42, 42 < 98, значит число 3 не подходит; ••• 14 • 7 = 98, 98 = 98, значит 7 - искомое частное. Проверка: 98 : 7 = (70 + 28) : 7 = 70 : 7 + 28 : 7 = 10 + 4 = 14 14 • 7 = (10 + 4) • 7 = 10 • 7 + 4 • 7 = 70 + 28 = 98 |
7. Найди длины отрезков АВ, АС, AD, если радиус каждой окружности 1 см 8 мм.

Повтори, что такое радиус окружности.
Вариант ответа #1:
Решение

Пояснение
Отрезок АВ равен двум радиусам.
Отрезок АС равен трем радиусам.
Отрезок АD равен четырем радиусам.
Вариант ответа #2:
Решение
АВ = 3 см 6 мм
АС = 5 см 4 мм
AD = 7 см 2 мм
Пояснение
1 см = 10 мм
Отрезок АВ равен двум радиусам окружности, поэтому АВ = 3 см 6 мм.
Отрезок АС равен радиусу окружности и длине отрезка АВ:
3 см 6 мм + 1 см 8 мм = 5 см 4 мм
Отрезок AD равен 2 длинам отрезка АВ:
3 см 6 мм • 2 = 72 (мм) = 7 см 2 мм - отрезок AD.
Вычисли и сделай проверку.
| 320 - 200 | 140 + 50 | 91 : 7 | 3 • 29 |
Повтори, как складываются и вычитаются трёхзначные числа.
Вариант ответа #1:
Решение

Пояснение
Чтобы проверить вычитание, можно использовать любой из следующих способов:
Чтобы проверить сложение, можно использовать любой из следующих способов:
Чтобы проверить деление, можно использовать любой из следующих способов:
Чтобы проверить произведение, можно использовать любой из следующих способов:
Вариант ответа #2:
Решение
|
320 - 200 = 120 Проверка: 120 + 200 = 320 320 - 120 = 200 |
140 + 50 = 190 Проверка: 190 - 140 = 50 190 - 50 = 140 |
|
91 : 7 = 13 Проверка: 91 : 13 = 7 13 • 7 = 91 |
3 • 29 = 87 Проверка: 87 : 29 = 3 87 : 3 = 29 |
Пояснение
|
320 - 200 = (300 - 200) + 20 = = 100 + 20 = 120 Проверка: 120 + 200 = (100 + 200) + 20 = = 300 + 20 = 320 320 - 120 = (300 - 100) + (20 - 20) = 200 |
|
140 + 50 = 100 + (40 + 50) = 100 + 90 = 190 Проверка: 190 - 140 = (100 - 100) + (90 - 40) = 50 190 - 50 = 100 + (90 - 50) = 140 |
|
91 : 7 = (70 + 21) : 7 = 70 : 7 + 21 : 7 = 10 + 3 = 13 91 : 13 вычисляем путём подбора частного. 13 • 2 = 26, 26 < 91, значит число 2 не подходит; 13 • 3 = 39, 39 < 91, значит число 3 не подходит; ••• 13 • 7 = 91, 91 = 91, значит 7 - искомое частное. Проверка: 13 • 7 = (10 + 3) • 7 = 10 • 7 + 3 • 7 = 70 + 21 = 91 |
|
3 • 29 = 3 • (20 + 9) = 3 • 20 + 9 • 3 = 60 + 27 = 87 Проверка: 87 : 29 вычисляем путём подбора частного. 29 • 2 = 58, 58 < 87, значит число 2 не подходит; 29 • 3 = 87, 87 = 87, значит 3 - искомое частное. 87 : 3 = (60 + 27) : 3 = 60 : 3 + 27 : 3 = 20 + 9 = 29 |
Вернуться к содержанию учебника