Вернуться к содержанию учебника
1. Вычисли с устным объяснением:
| 300 - 200 | 90 + 80 |
| 900 + 100 | 60 + 70 |
| 400 - 300 | 160 - 70 |
| 800 - 500 | 150 - 90 |
Повтори, как складывать и вычитать трёхзначные числа.
Решение
| 300 - 200 = 100 | 90 + 80 = 170 |
| 900 + 100 = 1000 | 60 + 70 = 130 |
| 400 - 300 = 100 | 160 - 70 = 90 |
| 800 - 500 = 300 | 150 - 90 = 60 |
Пояснение
|
300 - 200 = 100 3 сот. - 2 сот. = 1 сот. |
400 - 300 = 100 4 сот. - 3 сот. = 1 сот. |
|
900 + 100 = 1000 9 сот. + 1 сот. = 10 сот. |
800 - 500 = 300 8 сот. - 5 сот. = 3 сот. |
|
90 + 80 = 170 9 дес. + 8 дес. = 17 дес. |
160 - 70 = 90 16 дес. - 7 дес. = 9 дес. |
|
60 + 70 = 130 6 дес. + 7 дес. = 13 дес. |
150 - 90 = 60 15 дес. - 9 дес. = 6 дес. |
2. Витя купил 400 г сыра и на 100 г больше масла. Найди массу этой покупки.
3. 308 см =
м
см
45 мм =
см
мм
3 м 70 см =
см
15 дм 8 см =
см
Решение
308 см = 3 м 8 см
45 мм = 4 см 5 мм
3 м 70 см = 370 см
15 дм 8 см = 158 см
Пояснение
|
308 см = 3 м 8 см В 300 см 3 полных метра, так как 1 м = 100 см 308 - 300 = 8 см осталось. |
|
45 мм = 4 см 5 мм В 40 мм 4 полных сантиметра, так как 1 см = 10 мм 45 - 40 = 5 мм осталось. |
|
3 м 70 см = 370 см В 3 м 300 см, так как 1 м = 100 см 300 + 70 = 370 см |
|
15 дм 8 см = 158 см В 15 дм 150 см, так как 1 дм = 10 см 150 + 8 = 158 см |
Выберите год учебника
Стр. 66 учебника 2023-2026:
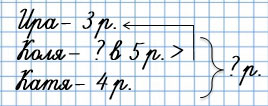
4. По выражению 4 + 3 • 5 ученик составил задачу:
"У Кати 4 р., у Иры 3 р., а у Коли в 5 раз больше, чем у этих девочек вместе. Сколько денег у Коли?"
Правильно ли составлена задача? Если нет, предложи свои способы внести исправления. Сколько способов получилось найти?
Стр. 66 учебника 2011-2022:
4. По выражению 4 + 3 • 5 ученик составил задачу:
"У Кати 4 р., у Иры 3 р., а у Коли в 5 раз больше, чем у этих девочек вместе. Сколько денег у Коли?"
Правильно ли составлена задача?
Повтори материал о порядке действий.
Решение
Нет, задача составлена неправильно.
Пояснение
По данному выражению, согласно порядку действий, мы узнаем, сколько денег у Кати и Коли вместе.
А теперь составим задачу по заданному выражению:
У Кати 4 р., у Иры 3 р., а у Коли в 5 раз больше, чем у Иры. Сколько денег у Кати и Коли вместе?

1) 3 • 5 = 15 (р.) - у Коли.
2) 4 + 15 = 19 (р.)
Ответ: 19 р. у Кати и Коли вместе.
4 + 3 • 5 = 19
Если мы рассматриваем задачу, данную в условии: "У Кати 4 р., у Иры 3 р., а у Коли в 5 раз больше, чем у этих девочек вместе. Сколько денег у Коли?", то выражение для ее решения должно быть следующим:
(4 + 3) • 5.

Выберите год учебника
Стр. 66 учебника 2023-2026:
5. Какие уравнения решаются делением? Реши их.
: 7 = 14 |
75 : = 5 |
• 7 = 14 |
75 - = 5 |
16 • = 64 |
19 • = 19 |
44 + = 88 |
19 : = 1 |
Стр. 66 учебника 2011-2022:
5. Выпиши уравнения, которые решаются делением, и реши их:
: 7 = 14 |
75 : = 5 |
• 7 = 14 |
75 - = 5 |
16 • = 64 |
19 • = 19 |
44 + = 88 |
19 : = 1 |
Повтори, как решать уравнения.
Решение
|
Проверка: 2 • 7 = 14 14 = 14 |
16 •
Проверка: 16 • 4 = 64 64 = 64 |
|
19 •
Проверка: 19 • 1 = 19 19 = 19 |
75 :
Проверка: 75 : 15 = 5 5 = 5 |
|
19 :
Проверка: 19 : 19 = 1 1 = 1 |
|
Пояснение
Деление используется при нахождении одного из множителей или делителя.
: 7 = 14 - неизвестно делимое, находим умножением.
• 7 = 14 - неизвестен множитель, находим делением.
16 •
= 64 - неизвестен множитель, находим делением.
44 +
= 88 - неизвестно слагаемое, находим вычитанием.
75 :
= 5 - неизвестен делитель, находим делением.
75 -
= 5 - неизвестно вычитаемое, находим вычитанием.
19 •
= 19 - неизвестен множитель, находим делением.
19 :
= 1 - неизвестен делитель, находим делением.
6. 200 • 4 + 200
900 - 400 : 2
1 000 : 2 + 500
1 000 : 5 - 200
300 : 300
300 - 300
7. 4 карандаша и 3 тетради стоят 54 р., а 2 карандаша и 2 тетради - 34 р. Сколько стоят 6 таких карандашей и 5 таких тетрадей?
Рубль - основная денежная единица в России, равная 100 копейкам.
Решение
54 + 34 = 88 (р.)
Ответ: 88 р. стоят 6 карандашей и 5 тетрадей.
Пояснение
Для того, чтобы ответить на вопрос задачи, внимательно рассмотри условие задачи и обрати внимание, что общее количество карандашей и тетрадей в двух покупках как раз то, которое нам нужно для решения задачи. Следовательно и стоимость 6 карандашей и 5 тетрадей будет равна общей стоимости двух покупок.

Вычисли.
| 400 + 300 | 900 - 200 | 840 - 60 |
Повтори, как складывать и вычитать трёхзначные числа.
Набери множителями:

Повтори, как называются числа при умножении.
Обрати внимание, набрать множителями нужно число 72.
Вернуться к содержанию учебника