Вернуться к содержанию учебника
11. Найди частное и остаток, проверь решение.
| 31 : 7 | 95 : 30 |
| 5 : 8 | 274 : 5 |
| 60 : 24 | 832 : 7 |
| 40 : 12 | 607 : 8 |
| 80 : 60 | 809 : 9 |
Повтори, как выполнять деление с остатком.
Решение





Пояснение
Пишу: 31 : 7.
Делю десятки: нельзя разделить 3 дес. на 7 так, чтобы в частном получились десятки.
Делю единицы: 3 дес. и 1 ед. - это 31 ед.
Разделю 31 на 7. В частном будет 4 ед.
Умножу: 4 • 7 = 28. Разделили 28 ед.
Вычту: 31 - 28 = 3. Остаток 3 ед.
Читаю ответ: 4 (ост. 3)
Далее рассуждай аналогично.
12. Найди значения выражений.
| (24 + 8) • 4 | (56 - 24) : 8 |
| 56 - (8 • 4 + 24) | 56 : (7 • 4 - 24) |
| 56 : 4 • 0 + 28 | |
| 4 • 24 - 56 : 4 | |
Повтори случаи внетабличного деления и табличного умножения.
Решение
(24 + 8) • 4 = 128
56 - (8 • 4 + 24) = 0
(56 - 24) : 8 = 4
56 : (7 • 4 - 24) = 14
56 : 4 • 0 + 28 = 28
4 • 24 - 56 : 4 = 82
Пояснение
|
1) 24 + 8 = 32 2) 32 • 4 = 30 • 4 + 2 • 4 = 128 |
|
1) 8 • 4 = 32 2) 32 + 24 = 56 3) 56 - 56 = 0 |
|
1) 56 - 24 = 32 2) 32 : 8 = 4 |
|
1) 7 • 4 = 28 2) 28 - 24 = 4 3) 56 : 4 = 40 : 4 + 16 : 4 = 14 |
|
1) 56 : 4 = 40 : 4 + 1 : 4 = 14 2) 14 • 0 = 0 3) 0 + 28 = 28 |
|
1) 4 • 24 = 4 • 20 + 4 • 4 = 96 2) 56 : 4 = 40 : 4 + 16 : 4 = 14 3) 96 - 14 = 82 |
Выберите год учебника
Стр. 54 учебника 2023-2026:
13. Как можно, не изменяя чисел, сделать равенства верными? Выполни это.
60 + 40 - 16 : 4 = 66
75 - 15 : 5 + 10 = 22
96 - 12 • 6 : 3 = 8
24 : 56 - 8 • 4 = 1
63 : 9 + 54 = 1
64 : 64 - 8 • 4 = 2
Стр. 54 учебника 2011-2022:
13. Расставь скобки так, чтобы равенства стали верными.
60 + 40 - 16 : 4 = 66
75 - 15 : 5 + 10 = 22
96 - 12 • 6 : 3 = 8
24 : 56 - 8 • 4 = 1
63 : 9 + 54 = 1
64 : 64 - 8 • 4 = 2
Решение
60 + (40 - 16) : 4 = 66
(75 - 15) : 5 + 10 = 22
(96 - 12 • 6) : 3 = 8
24 : (56 - 8 • 4) = 1
63 : (9 + 54) = 1
64 : (64 - 8 • 4) = 2
Пояснение
|
1) 40 - 16 = 24 2) 24 : 4 = 6 3) 60 + 6 = 66 |
|
1) 75 - 15 = 60 2) 60 : 5 = 12 3) 12 + 10 = 22 |
|
1) 12 • 6 = 72 2) 96 - 72 = 24 3) 24 : 3 = 8 |
|
1) 8 • 4 = 32 2) 56 - 32 = 24 3) 24 : 24 = 1 |
|
1) 9 + 54 = 63 2) 63 : 63 = 1 |
|
1) 8 • 4 = 32 2) 64 - 32 = 32 3) 64 : 32 = 2 |
14.
| 927 - 792 | 288 • 3 |
| 308 - 195 | 109 • 9 |
| 658 + 342 | 912 : 4 |
| 389 + 572 | 654 : 6 |
Повтори, как складывать, вычитать, умножать и делить трёхзначные числа.
Решение
| 1 столбик | 2 столбик |
![]() |
![]() |
![]() |
![]() |
| 3 столбик | 4 столбик |
![]() |
![]() |
![]() |
![]() |
Пояснение
Пишу (единицы под единицами, десятки под десятками, сотни под сотнями): 927 - 792.
Вычитаю единицы: 7 - 2 = 5. Пишу под единицами 5.
Вычитаю десятки. Из 2 дес. нельзя вычесть 9 дес. Беру 1 сот. (Чтобы не забыть об этом, ставлю точку над цифрой 9.) 1 сот. и 2 дес. - это 12 дес. Из 12 дес. вычитаю 9, получится 3. Пишу под десятками 3.
Вычитаю сотни. Было 9 сот., но 1 сот. взяли при вычитании десятков. Осталось 8 сот.
8 - 7 = 1. Пишу под сотнями 1.
Читаю ответ: 135.
Пишу (единицы под единицами, десятки под десятками, сотни под сотнями): 308 - 195.
Вычитаю единицы: 8 - 5 = 3. Пишу под единицами 3.
Вычитаю десятки. Из 0 дес. нельзя вычесть 9 дес. Беру 1 сот. (Чтобы не забыть об этом, ставлю точку над цифрой 3.) 1 сот. и 0 дес. - это 10 дес. Из 10 дес. вычитаю 9, получится 1. Пишу под десятками 1.
Вычитаю сотни. Было 3 сот., но 1 сот. взяли при вычитании десятков. Осталось 2 сот.
2 - 1 = 1. Пишу под сотнями 1.
Читаю ответ: 113.
Пишу (единицы под единицами, десятки под десятками, сотни под сотнями): 658 + 342.
Складываю единицы: 8 + 2 = 10.
10 ед. - это 1 дес. и 0ед. 0 ед. пишу под единицами, а 1 дес. запомню и прибавлю к десяткам.
Складываю десятки: 5 + 4 = 9, да ещё 1.
9 + 1 = 10.
10 дес. - это 1 сот. и 0 дес.; 0 дес. пишу под десятками, а 1 сот. запомню и прибавлю к сотням.
Складываю сотни: 6 + 3 = 9, да ещё 1.
9 + 1 = 10.
10 сот. - это 1 тыс. и 0 сот.; 0 сот. пишу под сотнями, а 1 тыс. пишу в ответ в разряде тысяч, так как других тысяч для сложения нет.
Читаю ответ: 1000.
Пишу (единицы под единицами, десятки под десятками, сотни под сотнями): 389 + 572.
Складываю единицы: 9 + 2 = 11.
11 ед. - это 1 дес. и 1 ед. 1 ед. пишу под единицами, а 1 дес. запомню и прибавлю к десяткам.
Складываю десятки: 8 + 7 = 15, да ещё 1.
15 + 1 = 16.
16 дес. - это 1 сот. и 6 дес.; 6 дес. пишу под десятками, а 1 сот. запомню и прибавлю к сотням.
Складываю сотни: 3 + 5 = 8, да ещё 1.
8 + 1 = 9. Пишу 9 под сотнями.
Читаю ответ: 961.
Пишу: 288 • 3.
Умножаю единицы: 8 • 3 = 24. 24 ед. - это 2 дес. 4 ед., 4 ед. пишу под единицами, а 2 дес. запомню и прибавлю его к десяткам после умножения десятков.
Умножаю десятки: 8 • 3 = 24. К 24 дес. прибавлю 2 дес., которые получены при умножении единиц: 24 + 2 = 26. 26 дес. - это 2 сот. и 6 дес. 6 дес. пишу под десятками, а 2 сот. запомню и прибавлю их к сотням после умножения сотен.
Умножаю сотни: 2 • 3 = 6. К 6 сот. прибавлю 2 сот., которые получены при умножении сотен: 6 + 2 = 8. Пишу 8 под сотнями.
Читаю ответ: 864.
Пишу: 109 • 9.
Умножаю единицы: 9 • 9 = 81. 81 ед. - это 8 дес. 1 ед., 1 ед. пишу под единицами, а 8 дес. запомню и прибавлю его к десяткам после умножения десятков.
Умножаю десятки: 0 • 9 = 0. К 0 дес. прибавлю 8 дес., которые получены при умножении единиц: 0 + 8 = 8. 8 дес. пишу под десятками.
Умножаю сотни: 1 • 9 = 9. Пишу 9 под сотнями.
Читаю ответ: 981.
Пишу: 912 : 4.
Делю сотни: сотен 9.
Разделю 9 на 4. В частном будет 2 сот.
Умножу: 2 • 4 = 8. Разделили 8 сот.
Вычту: 9 - 8 = 1. Осталось разделить 1 сот.
Делю десятки: 1 сот. и 1 дес. - это 11 дес. Разделю 11 на 4. В частном будет 2 дес.
Умножу: 2 • 4 = 8. Разделили 8 дес.
Вычту: 11 - 8 = 3. Осталось разделить 3 дес.
Делю единицы: 3 дес. и 2 ед. - это 32 ед.
Разделю 32 на 4. В частном будет 8 ед.
Умножу: 8 • 4 = 32. Разделили 32 ед.
Вычту: 32 - 32 = 0. Единицы разделили все.
Читаю ответ: 228.
Пишу: 654 : 6.
Делю сотни: сотен 6.
Разделю 6 на 6. В частном будет 1 сот.
Умножу: 1 • 6 = 6. Разделили 6 сот.
Вычту: 6 - 6 = 0. Сотни разделили все.
Делю десятки: десятков 5. 5 дес. нельзя разделить на 6 так, чтобы в частном получились десятки. Пишу в частном 0.
Умножу: 0 • 6 = 0. Разделили 0 дес.
Вычту: 5 - 0 = 5. Осталось разделить 5 дес.
Делю единицы: 5 дес. и 4 ед. - это 54 ед.
Разделю 54 на 6. В частном будет 9 ед.
Умножу: 9 • 6 = 54. Разделили 54 ед.
Вычту: 54 - 54 = 0. Единицы разделили все.
Читаю ответ: 109.
15. Реши уравнения.
47 + = 108 |
• 27 = 81 |
65 - = 27 |
: 8 = 12 |
Повтори, как решать уравнения.
Решение
|
47 +
|
|
|
65 -
|
|
Пояснение
1. Чтобы найти неизвестное слагаемое, нужно из суммы вычесть известное слагаемое:
108 - 47 = 61
Проверка:
47 + 61 = 108
108 = 108
2. Чтобы найти вычитаемое, нужно из уменьшаемого вычесть разность:
65 - 27 = 38
Проверка:
65 - 38 = 27
38 = 38
3. Чтобы найти неизвестный множитель, нужно произведение разделить на известный множитель:
81 : 27 = 3
Проверка:
3 • 27 = 81
81 = 81
4. Чтобы найти делимое, нужно частное умножить на делитель:
12 • 8 = 96
Проверка:
96 : 8 = 12
12 = 12
Выберите год учебника
Стр. 54 учебника 2023-2026:
16. Вырази в других единицах измерения.
В квадратных метрах:
2 000 дм2, 65 000 дм2.
В квадратных дециметрах и квадратных сантиметрах:
450 см2, 8 435 см2.
Стр. 54 учебника 2011-2022:
16. Вырази.
В квадратных метрах:
2 000 дм2, 65 000 дм2.
В квадратных дециметрах и квадратных сантиметрах:
450 см2, 8 435 см2.
Повтори единицы площади - квадратный сантиметр, квадратный дециметр, квадратный метр.
Решение
2 000 дм2 = 20 м2
65 000 дм2 = 650 м2
450 см2 = 4 дм2 50 см2
8 435 см2 = 84 дм2 35 см2
Пояснение
1 м2 = 100 дм2, поэтому:
2 000 дм2 = 2 000 : 100 = 20 м2;
65 000 дм2 = 65 000 : 100 = 650 м2.
1 дм2 = 100 см2, поэтому:
450 см2 = 4 • 100 + 50 = 4 дм2 50 см2;
8 435 см2 = 84 • 100 + 35 = 84 дм2 35 см2.
17. Участок прямоугольной формы примыкает к дому, длина которого 10 м. С трёх сторон участок обнесён изгородью длиной 130 м. Чему равна площадь этого участка?
Решение
1) 130 - 10 = 120 (м) - две длины.
2) 120 : 2 = 60 (м) - длина участка.
3) 60 • 10 = 600 (м2)
Ответ: 600 м2 - площадь участка.
Пояснение
С одной стороны участок прямоугольной формы примыкает к дому, длина которого 10 м. Значит, одна из сторон участка - 10 м. Мы знаем, что противоположные стороны прямоугольника равны. Значит, ещё одна сторона участка - 10 м. С трёх сторон участок обнесён изгородью длиной 130 м, среди них одна из сторон - 10 м. Значит, оставшиеся две стороны:
130 - 10 = 120 (м)
Так как эти две стороны тоже равны, то узнаем, чему равна одна сторона:
120 : 2 = 60 (м)
Чтобы найти площадь прямоугольника, нужно длину умножить на ширину. Длина прямоугольника - 60 м, ширина - 10 м. Найдём его площадь:
60 • 10 = 600 (м2)

18. В теплице с 1 м2 снимают 30 кг огурцов. Сколько килограммов огурцов при такой урожайности можно вырастить в теплице на двух грядках прямоугольной формы длиной 10 м и шириной 1 м каждая?
Повтори, как найти площадь прямоугольника, единицу длины - метр, единицу массы - килограмм.
Если есть схематический рисунок, таблица или чертёж, краткую запись задачи составлять не нужно.
Решение
1) 10 • 1 = 10 (м2) - площадь одной грядки.
2) 10 + 10 = 20 (м2) - площадь двух грядок.
3) 30 • 20 = 600 (кг)
Ответ: 600 кг огурцов можно вырастить в теплице на двух грядках.
Пояснение

Какова площадь одной грядки?
1) 10 • 1 = 10 (м2)
Какова площадь двух грядок?
2) 10 + 10 = 20 (м2)
Сколько кг огурцов можно вырастить на этих двух грядках?
3) 30 • 20 = 600 (кг)
Длина грядки - 10 м, а ширина - 1 м. Узнаем площадь одной грядки:
1) 10 • 1 = 10 (м2)
Площадь каждой из грядок - 10 м2, вычислим площадь двух грядок:
2) 10 + 10 = 20 (м2)
Площадь двух грядок - 20 м2, а с каждого 1 м2 снимают 30 кг огурцов. Вычислим, сколько кг огурцов можно вырастить на двух грядках:
3) 30 • 20 = 600 (кг)
19. При посеве подсолнечника на 1 000 м2 расходуют 1 кг семян. Хватит ли 500 г семян подсолнечника, чтобы засеять участок прямоугольной формы длиной 80 м и шириной 6 м при такой же норме расхода семян?
Решение

1 способ:
1) 80 • 6 = 480 (м2) - площадь участка.
2) 1000 : 500 = 2 (р.) - меньше семян.
3) 1000 : 2 = 500 (м2) - хватит семян.
4) 480 м2 < 500 м2
Ответ: 500 г семян хватит.
2 способ:
1) 1000 : 1000 = 1 (г) - семян хватит на 1 м2.
2) 500 : 1 = 500 (м2) - хватит.
3) 80 • 6 = 480 (м2) - площадь участка.
4) 480 м2 < 500 м2
Ответ: 500 г семян хватит.
Пояснение
1 способ:
Какова площадь участка?
1) 80 • 6 = 480 (м2)
Во сколько раз меньше 500 г, чем 1 кг?
2) 1000 : 500 = 2 (р.)
На какую площадь хватит 500 г семян?
3) 1000 : 2 = 500 (м2)
Хватит ли 500 г семян на участок?
4) 480 м2 < 500 м2
Чтобы найти площадь прямоугольника, нужно его длину умножить на ширину. Вычислим площадь участка:
1) 80 • 6 = 480 (м2)
Указан расход 1 кг на площадь 1000 м2, а дано 500 г семян. Посчитаем, во сколько раз 500 г меньше, чем 1 кг (помним, что 1 кг = 1000 г):
2) 1000 : 500 = 2 (р.)
500 г семян хватит на половину площади 1000 м2:
3) 1000 : 2 = 500 (м2)
Площадь нашего участка - 480 м2, а семян хватит на 500 м2, значит семян хватит на данный участок, так как:
4) 480 м2 < 500 м2
2 способ:
Сколько семян расходуют на 1 м2?
1) 1000 : 1000 = 1 (г)
На сколько м2 хватит 500 г?
2) 500 : 1 = 500 (м2)
Какова площадь участка?
3) 80 • 6 = 480 (м2)
Хватит ли 500 г семян на участок?
4) 480 м2 < 500 м2
Указан расход 1 кг на площадь 1000 м2. Узнаем, сколько г расходуется на 1 м2 (помним, что 1 кг = 1000 г):
1) 1000 : 1000 = 1 (г)
На 1 м2 расходуют 1 г семян. Вычислим, на сколько м2 хватит 500 г?
2) 500 : 1 = 500 (м2)
Длина участка - 80 м, а ширина - 6 м. Узнаем его площадь:
3) 80 • 6 = 480 (м2)
Площадь нашего участка - 480 м2, а семян хватит на 500 м2, значит семян хватит на данный участок, так как:
4) 480 м2 < 500 м2
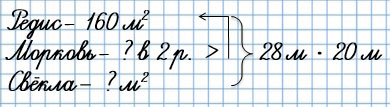
20. Огород прямоугольной формы, длина которого 28 м, а ширина 20 м, засеян редисом, морковью и свёклой. Редисом занято 160 м2, морковью - в 2 раза больше, чем редисом. Сколько квадратных метров огорода занято свёклой?
Решение
1) 28 • 20 = 560 (м2) - площадь огорода.
2) 560 - 160 = 400 (м2) - засеяно морковью и свёклой.
3) 160 • 2 = 320 (м2) - засеяно морковью.
4) 400 - 320 = 80 (м2)
Ответ: 80 м2 занято свёклой.
Пояснение

Какова площадь огорода?
1) 28 • 20 = 560 (м2)
Какая площадь была засеяна морковью и свёклой?
2) 560 - 160 = 400 (м2)
Какая площадь была засеяна морковью?
3) 160 • 2 = 320 (м2)
Какая площадь была засеяна свёклой?
4) 400 - 320 = 80 (м2)
Чтобы найти площадь прямоугольника, нужно его длину умножить на ширину. Длина огорода - 28 м, ширина - 20 м:
1) 28 • 20 = 560 (м2)
Площадь огорода - 560 м2, из них 160 м2 занято редисом, остальное - морковью и свёклой:
2) 560 - 160 = 400 (м2)
Редисом занято 160 м2, а морковью - в 2 раза больше, чем редисом. Узнаем, сколько м2 занято морковью:
3) 160 • 2 = 320 (м2)
Морковью и свёклой занято 400 м2, из них 320 м2 - морковью. Вычислим, сколько м2 занято свёклой:
4) 400 - 320 = 80 (м2)
21. Чем похожи эти многоугольники? Найди периметр каждого многоугольника. Сколько осей симметрии у фигуры 2? 3? 4?

Повтори, как найти периметр фигуры.
Решение
Все многоугольники - равносторонние.
Периметр 1 фигуры = 23 • 3 = 69 (мм)
Периметр 2 фигуры = 23 • 4 = 92 (мм)
Периметр 3 фигуры = 18 • 4 = 72 (мм)
Периметр 4 фигуры = 13 • 6 = 78 (мм)
У фигуры 2 четыре оси симметрии.
У фигуры 3 две оси симметрии.
У фигуры 4 шесть осей симметрии.
Пояснение
Чтобы найти периметр фигуры, нужно сложить длины всех её сторон или, если фигуры равносторонние, умножить длину одной стороны на количество сторон.
Ось симметрии фигуры - это прямая, которая делит фигуру на две симметричные части (если по этой прямой перегнуть фигуру, то ее части наложатся друг на друга).
У фигуры 2 четыре оси симметрии:

У фигуры 3 две оси симметрии:

У фигуры 4 шесть осей симметрии:

Вернуться к содержанию учебника