Вернуться к содержанию учебника
Выберите год учебника
Стр. 28 учебника 2023-2026:
83. Вычисли удобным способом.
240 : (4 • 10)
180 : (2 • 10)
540 : (9 • 10)
Стр. 28 учебника 2011-2022:
95. Из 2 м полотна получается 3 наволочки. Сколько таких наволочек получится из 42 м полотна?

Стр. 28 учебника 2023-2026:
Решение
240 : (4 • 10) = 240 : 40 = 6
180 : (2 • 10) = 180 : 20 = 9
540 : (9 • 10) = 540 : 90 = 6
Пояснение
Вычислили произведение и разделили число на него.
Стр. 28 учебника 2011-2022:
Решение
1) 42 : 2 = 21 (р.) - по 2 м.
2) 21 • 3 = 63 (н.)
Ответ: 63 наволочки из 42 м полотна.
Пояснение
Из 2 м полотна получается 3 наволочки. У нас есть 42 м полотна. Вычислим, сколько раз по 2 м получится из 42 м полотна:
1) 42 : 2 = 21 (р.)
Взяли 21 раз по 2 м. Так как из 2 м получается 3 наволочки, узнаем, сколько получится наволочек из 42 м:
2) 21 • 3 = 63 (н.)
Выберите год учебника
Стр. 28 учебника 2023-2026:
84. Объясни, как выполнено деление.
|
360 : 12 = 360 : (6 • 2) = 360 : 6 : 2 = 30 |
|
7200 : 900 = 7200 : (100 • 9) = = 7200 : 100 : 9 = 8 |
Стр. 28 учебника 2011-2022:
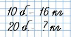
96. В 10 одинаковых банках 16 кг мёда. Сколько килограммов мёда в 20 таких банках?
Стр. 28 учебника 2023-2026:
Чтобы разделить многозначное число на какое-нибудь двузначное число, можно двузначное число представить в виде произведения двух множителей, затем разделить многозначное число на первый множитель и полученное частное разделить на второй множитель.
Стр. 28 учебника 2011-2022:
Решение
1) 20 : 10 = 2 (р.) - больше банок.
2) 16 • 2 = 32 (кг)
Ответ: 32 кг мёда в 20 таких банках.
Пояснение

Во сколько раз больше 20 банок, чем 10 банок?
1) 20 : 10 = 2 (р.)
Сколько килограммов мёда в 20 таких банках?
2) 16 • 2 = 32 (кг)
Известно, сколько килограммов мёда в 10 банках, нужно узнать, сколько килограммов мёда в 20 таких банках. Вычислим, во сколько раз больше 20 банок, чем 10 банок:
1) 20 : 10 = 2 (р.)
В 10 одинаковых банках 16 кг мёда. В 20 таких банках в 2 раза больше мёда. Узнаем, сколько мёда в 20 банках:
2) 16 • 2 = 32 (кг)
Выберите год учебника
Стр. 28 учебника 2023-2026:
85. Выполни деление, заменив делитель произведением.
| 600 : 20 | 420 : 14 |
| 300 : 15 | 5 600 : 800 |
Стр. 28 учебника 2011-2022:
97. Из двух городов выехали одновременно навстречу друг другу два мотоциклиста. Один из них двигался со скоростью 70 км/ч и проехал до встречи 140 км, а другой двигался со скоростью 65 км/ч.
Стр. 28 учебника 2023-2026:
Стр. 28 учебника 2011-2022:
Повтори взаимосвязь между скоростью, временем и расстоянием и как решать обратные задачи.
Стр. 28 учебника 2023-2026:
Решение
600 : 20 = 600 : (10 • 2) = 30
300 : 15 = 300 : (3 • 5) = 20
420 : 14 = 420 : (2 • 7) = 30
5 600 : 800 = 5 600 : (100 • 8) = 7
Пояснение
|
600 : 20 = 600 : (10 • 2) = = 600 : 10 : 2 = 60 : 2 = 30 |
|
300 : 15 = 300 : (3 • 5) = 300 : 3 : 5 = = 100 : 5 = 20 |
|
420 : 14 = 420 : (2 • 7) = 420 : 2 : 7 = = 210 : 7 = 30 |
|
5 600 : 800 = 5 600 : (100 • 8) = = 5 600 : 100 : 8 = 56 : 8 = 7 |
Стр. 28 учебника 2011-2022:
Решение
1) 140 : 70 = 2 (ч) - двигались мотоциклисты.
2) 65 • 2 = 130 (км) - проехал второй мотоциклист.
3) 140 + 130 = 270 (км)
Ответ: расстояние между городами - 270 км.
Обратная задача 1:
Расстояние между городами - 270 км. Из них выехали одновременно навстречу друг другу два мотоциклиста и встретились через 2 ч. Один из них двигался со скоростью 70 км/ч. Найди скорость второго мотоциклиста.
1) 270 : 2 = 135 (км/ч) - скорость сближения.
| - | 2 | 7 | 0 | 2 | |||||||||||
| 2 | 1 | 3 | 5 | ||||||||||||
| - | 7 | ||||||||||||||
| 6 | |||||||||||||||
| - | 1 | 0 | |||||||||||||
| 1 | 0 | ||||||||||||||
| 0 |
2) 135 - 70 = 65 (км/ч)
Ответ: скорость второго мотоциклиста - 65 км/ч.
Обратная задача 2:
Расстояние между городами - 270 км. Из них выехали одновременно навстречу друг другу два мотоциклиста и встретились через 2 ч. Один из них двигался со скоростью 65 км/ч. Найди скорость второго мотоциклиста.
1) 270 : 2 = 135 (км/ч) - скорость сближения.
| - | 2 | 7 | 0 | 2 | |||||||||||
| 2 | 1 | 3 | 5 | ||||||||||||
| - | 7 | ||||||||||||||
| 6 | |||||||||||||||
| - | 1 | 0 | |||||||||||||
| 1 | 0 | ||||||||||||||
| 0 |
2) 135 - 65 = 70 (км/ч)
Ответ: скорость второго мотоциклиста - 70 км/ч.
Пояснение

Чтобы найти время в пути, нужно расстояние разделить на скорость:
1) 140 : 70 = 2 (ч)
Чтобы найти расстояние, которое проехал второй мотоциклист, нужно скорость умножить на время:
2) 65 • 2 = 130 (км)
Первый мотоциклист проехал до встречи 140 км, а второй - 130 км. Вычислим расстояние между городами:
3) 140 + 130 = 270 (км)
Выберите год учебника
Стр. 28 учебника 2023-2026:
86.
| 320 : 80 | 600 : 15 |
| 810 : 90 | 280 : 70 |
| 780 : 30 | 1 200 : 200 |
| 560 : 20 | 4 900 : 700 |
Стр. 28 учебника 2011-2022:
98. Запиши равенства и неравенства, проверь, верны ли они.
1) Произведение чисел 293 и 70 равно разности чисел 2900 и 849.
2) Сумма чисел 9 391 и 7 028 равна частному чисел 82 095 и 5.
3) Частное чисел 70 236 и 9 меньше их разности.
4) Произведение чисел 8 019 и 7 больше их суммы.
Стр. 28 учебника 2023-2026:
Решение
| 320 : 80 = 4 | 600 : 15 = 40 |
| 810 : 90 = 9 | 280 : 70 = 4 |
| 780 : 30 = 26 | 1 200 : 200 = 6 |
| 560 : 20 = 28 | 4 900 : 700 = 7 |
Пояснение
|
320 : 80 = 320 : (10 • 8) = = 320 : 10 : 8 = 32 : 8 = 4 |
|||||||||||||||||||||||||||||||||
|
810 : 90 = 810 : (10 • 9) = = 810 : 10 : 9 = 81 : 9 = 9 |
|||||||||||||||||||||||||||||||||
|
780 : 30 = 780 : (10 • 3) = = 780 : 10 : 3 = 78 : 3 = 26
|
|||||||||||||||||||||||||||||||||
|
560 : 20 = 560 : (10 • 2) = = 560 : 10 : 2 = 56 : 2 = 28
|
|||||||||||||||||||||||||||||||||
|
600 : 15 = 600 : (3 • 5) = = 600 : 3 : 5 = 200 : 5 = 40 |
|||||||||||||||||||||||||||||||||
|
280 : 70 = 280 : (10 • 7) = = 280 : 10 : 7 = 28 : 7 = 4 |
|||||||||||||||||||||||||||||||||
|
1 200 : 200 = 1 200 : (100 • 2) = = 1 200 : 100 : 2 = 12 : 2 = 6 |
|||||||||||||||||||||||||||||||||
|
4 900 : 700 = 4 900 : (100 • 7) = = 4 900 : 100 : 7 = 49 : 7 = 7 |
Стр. 28 учебника 2011-2022:
Решение
1) 293 • 70 = 2 900 - 849 - неверно.
|
293 • 70 = 20 510
|
|||||||||||||||||||
|
2 900 - 849 = 2 051
|
20 510 > 2 051
2) 9 391 + 7 028 = 82 095 : 5 - верно.
|
9 391 + 7 028 = 16 419
|
|||||||||||||||||||||||||||||||||||||||||||||||||||||||||||||||||||||||||||||||||||||||||||||||||||||||||||||||||||||||||||||||||||||||||||||||||||||
|
82 095 : 5 = 16 419
|
3) 70 236 : 9 < 70 236 - 9 - верно.
|
70 236 : 9 = 7 804
|
|||||||||||||||||||||||||||||||||||||||||||||||||||||||||||||||||||||||||||||||||
|
70 236 - 9 = 70 227
|
7 804 < 70 227
4) 8 019 • 7 > 8 019 + 7 - верно.
|
8 019 • 7 = 56 133
|
8 019 + 7 = 8 026
|
56 133 > 8 026
Выберите год учебника
Стр. 28 учебника 2023-2026:
87. Из двух городов, расстояние между которыми 846 км, вышли одновременно навстречу друг другу два поезда. Один шёл со скоростью 85 км/ч, другой - со скоростью 60 км/ч. Какое расстояние будет между поездами через 3 ч?

Стр. 28 учебника 2011-2022:
99. Выполни деление с остатком и проверь решение.
1 724 : 10
2 540 : 100
65 032 : 1 000
Стр. 28 учебника 2023-2026:
Повтори взаимосвязь между скоростью, временем и расстоянием, а также алгоритм письменного сложения и вычитания трёхзначных чисел.
Стр. 28 учебника 2011-2022:
Повтори, как выполнять деление с остатком.
Стр. 28 учебника 2023-2026:
Решение
1) 85 • 3 = 255 (км) - первый поезд.
| × | 8 | 5 |
| 3 | ||
| 2 | 5 | 5 |
2) 60 • 3 = 180 (км) - второй поезд.
3) 255 + 180 = 435 (км) - оба поезда.
| + | 2 | 5 | 5 |
| 1 | 8 | 0 | |
| 4 | 3 | 5 |
4) 846 - 435 = 411 (км)
| - | 8 | 4 | 6 |
| 4 | 3 | 5 | |
| 4 | 1 | 1 |
Ответ: расстояние между поездами через 3 ч будет 411 км.
Пояснение
Какой путь пройдёт 1 поезд за 3 ч?
1) 85 • 3 = 255 (км)
Какой путь пройдёт 2 поезд за 3 ч?
2) 60 • 3 = 180 (км)
Какой путь пройдут оба поезда за 3 ч?
3) 255 + 180 = 435 (км)
Какое расстояние будет между поездами через 3 ч?
4) 846 - 435 = 411 (км)
Чтобы найти расстояние, нужно скорость умножить на время. Вычислим, какой путь прошёл 1 поезд, если он шёл 3 ч со скоростью 85 км/ч:
1) 85 • 3 = 255 (км)
Чтобы найти расстояние, нужно скорость умножить на время. Вычислим, какой путь прошёл 2 поезд, если он шёл 3 ч со скоростью 60 км/ч:
2) 60 • 3 = 180 (км)
Первый поезд прошёл за 3 ч 255 км, а второй поезд за то же время - 180 км. Вычислим, какой путь прошли оба поезда за 3 ч:
3) 255 + 180 = 435 (км)
Расстояние между городами - 846 км, поезда проехали 435 км из них. Узнаем, какое расстояние будет между поездами через 3 ч:
4) 846 - 435 = 411 (км)
Стр. 28 учебника 2011-2022:
Решение
1 724 : 10 = 172 (ост. 4)
2 540 : 100 = 25 (ост. 40)
65 032 : 1 000 = 65 (ост. 32)
Пояснение
1 724 : 10.
Без остатка 1 724 на 10 не разделится. Разделим 1 720 на 10. Получим 172. Это - частное, а остаток 4:
1 724 : 10 = 172 (ост. 4)
2 540 : 100.
Без остатка 2 540 на 100 не разделится. Разделим 2 500 на 100. Получим 25. Это - частное, а остаток 40:
2 540 : 100 = 25 (ост. 40)
65 032 : 1 000.
Без остатка 65 032 на 1 000 не разделится. Разделим 65 000 на 1 000. Получим 650. Это - частное, а остаток 32:
65 032 : 1 000 = 65 (ост. 32)
Выберите год учебника
Стр. 28 учебника 2023-2026:
88. В мастерской сшили 120 спальных мешков за 6 дней, изготавливая одинаковое количество мешков каждый день. За сколько дней сошьют 100 спальных мешков, если ежедневно будут шить на 5 мешков больше?
Стр. 28 учебника 2011-2022:
100.
| 140 : 20 | 8 100 : 900 |
| 560 : 7 | 3 200 : 800 |
| 500 + (600 - 3 • 100) : 10 | |
| 9 000 : (100 - 90) : 9 • 2 | |
Стр. 28 учебника 2023-2026:
Решение
1) 120 : 6 = 20 (м.) - шили в день.
2) 20 + 5 = 25 (м.) - будут шить в день.
3) 100 : 25 = 4 (дн.)
Ответ: за 4 дня сошьют 100 спальных мешков.
Пояснение

Сколько мешков шьют за 1 день?
1) 120 : 6 = 20 (м.)
Сколько мешков будут шить за 1 день?
2) 20 + 5 = 25 (м.)
За сколько дней сошьют 100 спальных мешков?
3) 100 : 25 = 4 (дн.)
В мастерской сшили 120 спальных мешков за 6 дней. Вычислим, сколько мешков шили за 1 день:
1) 120 : 6 = 20 (м.)
В мастерской шили 20 спальных мешков в день. Вычислим, сколько спальных мешков будут шить в мастерской ежедневно, если будут шить на 5 мешков больше:
2) 20 + 5 = 25 (м.)
В мастерской будут шить ежедневно 25 спальных мешков. Узнаем, за сколько дней сошьют 100 спальных мешков:
3) 100 : 25 = 4 (дн.)
Стр. 28 учебника 2011-2022:
Решение
| 140 : 20 = 7 | 8 100 : 900 = 9 |
| 560 : 7 = 80 | 3 200 : 800 = 4 |
| 500 + (600 - 3 • 100) : 10 = 530 | |
| 9 000 : (100 - 90) : 9 • 2 = 200 | |
Пояснение
| 140 : 20 = 14 дес. : 2 дес. = 7 |
| 560 : 7 = 56 дес. : 7 = 8 дес. = 80 |
| 8 100 : 900 = 81 сот. : 9 сот. = 9 |
| 3 200 : 800 =32 сот. : 8 сот. = 4 |
|
1) 3 • 100 = 300 2) 600 - 300 = 300 3) 300 : 10 = 30 4) 500 + 30 = 530 |
|
1) 100 - 90 = 10 2) 9000 : 10 = 900 3) 900 : 9 = 100 4) 100 • 2 = 200 |
Выберите год учебника
Стр. 28 учебника 2023-2026:
89. Коля задумал число, прибавил к нему 16, увеличил результат в 10 раз и получил 300. Какое число задумал Коля? Составь похожее задание.
Стр. 28 учебника 2011-2022:
101. У моей мамы рост 164 см. Мой брат на 16 см выше мамы, а я пока на 8 см ниже мамы. Какой у меня рост? Сделай схематический чертёж к задаче и определи, на сколько сантиметров брат выше меня.
Стр. 28 учебника 2023-2026:
Решение
Коля задумал число 14.
Пример:
Вера задумала число, прибавила к нему 20. Увеличила результат в 2 раза и получила 240. Какое число задумала Вера?
Пояснение
Чтобы найти объект операции, нужно над результатом операции выполнить обратную операцию:
300 : 10 - 16 = 14.
Пример:
240 : 2 - 20 = 100
Задуманное число - 100.
Стр. 28 учебника 2011-2022:
Решение
1) 164 - 8 = 156 (см) - мой рост.
| • | |||
| - | 1 | 6 | 4 |
| 8 | |||
| 1 | 5 | 6 |
2) 16 + 8 = 24 (см)
Ответ: мой рост - 156 см, брат выше меня на 24 см.

Пояснение
Рост мамы - 164 см, а мой - на 8 см меньше. Вычислим мой рост:
1) 164 - 8 = 156 (см)
Мой рост на 8 см меньше, чем рост мамы, а рост брата на 16 см больше, чем рост мамы. Значит, разница между моим ростом и ростом брата (16 + 8) см. Вычислим её:
2) 16 + 8 = 24 (см)
Выберите год учебника
Стр. 28 учебника 2023-2026:
90. 838 008 : 9 - 410 960 : 8
1 482 • 50 + 6 700 • 30
560 000 : 100 • 8
283 040 : 10 • 9
Стр. 28 учебника 2011-2022:
Сумма трёх чисел 2 010. Первое слагаемое 980, оно в 2 раза больше второго. Найди третье слагаемое.
Стр. 28 учебника 2023-2026:
Решение
838 008 : 9 - 410 960 : 8 = 41 742
1 482 • 50 + 6 700 • 30 = 275 100
560 000 : 100 • 8 = 44 800
283 040 : 10 • 9 = 254 736
Пояснение
|
|
||||||||||||||||||||||||||||||||||||||||||||||||||||||||||||||||||||||||||||||||||||||||||||||||||||||||||||||||||||||||||||||||||||||||||||||||||||||||||||||||||||||||||||||||||||||||||||||||||||||||||||||||||||||||||||||||||||||||||||||||||||||||||||||||||||||||||||||||||||||||||||||||||||||||||||||||||||||||||||||
|
|
||||||||||||||||||||||||||||||||||||||||||||||||||||||||||||||||||||||||||||||||||||||||||||||||||||||||||||||||||||||||||||||||||||||||||||||||||||||||||||||||||||||||||||||||||||||||||||||||||||||||||||||||||||||||||||||||||||||||||||||||||||||||||||||||||||||||||||||||||||||||||||||||||||||||||||||||||||||||||||||
|
1) 560 000 : 100 = 5 600
|
||||||||||||||||||||||||||||||||||||||||||||||||||||||||||||||||||||||||||||||||||||||||||||||||||||||||||||||||||||||||||||||||||||||||||||||||||||||||||||||||||||||||||||||||||||||||||||||||||||||||||||||||||||||||||||||||||||||||||||||||||||||||||||||||||||||||||||||||||||||||||||||||||||||||||||||||||||||||||||||
|
1) 283 040 : 10 = 28 304
|
Стр. 28 учебника 2011-2022:
Решение
1) 980 : 2 = 490 - второе слагаемое.
| - | 9 | 8 | 0 | 2 | |||||||||||
| 8 | 4 | 9 | 0 | ||||||||||||
| - | 1 | 8 | |||||||||||||
| 1 | 8 | ||||||||||||||
| 0 |
2) 980 + 490 = 1 470 - первое и второе слагаемое вместе.
| + | 9 | 8 | 0 | |
| 4 | 9 | 0 | ||
| 1 | 4 | 7 | 0 |
3) 2 010 - 1 470 = 540
| • | • | |||
| - | 2 | 0 | 1 | 0 |
| 1 | 4 | 7 | 0 | |
| 5 | 4 | 0 |
Ответ: третье слагаемое - 540.
Пояснение

Первое слагаемое 980, оно в 2 раза больше второго. Вычислим второе слагаемое:
1) 980 : 2 = 490
Первое слагаемое 980, второе - 490. Найдём их сумму:
2) 980 + 490 = 1 470
Сумма трёх чисел - 2 010. Сумма первых двух слагаемых - 1 470. Вычислим третье слагаемое:
3) 2 010 - 1 470 = 540
Выберите год учебника
Стр. 28 учебника 2023-2026:
91. Выполни деление с остатком. Сделай проверку.
| 962 : 6 | 7 286 : 7 | 56 647 : 8 |
Стр. 28 учебника 2011-2022:

Стр. 28 учебника 2023-2026:
Решение
![]() |
![]() |
![]() |
Пояснение
Проверка:
1) Остаток должен быть меньше делителя.
2) Умножим частное на делитель.
3) Прибавим к результату остаток. Сумма должна быть равна делимому.
Стр. 28 учебника 2011-2022:
Решение
Треугольник = 68.
Квадрат = 38.
Круг = 30.
Пояснение
Во втором равенстве число, которое спряталось за треугольником, является уменьшаемым. Чтобы найти уменьшаемое, нужно к разности прибавить вычитаемое:
50 + 18 = 68.
В первом равенстве число, которое спряталось за квадратом, является вторым слагаемым. Чтобы найти второе слагаемое, нужно из суммы вычесть первое слагаемое:
68 - 30 = 38.
В третьем равенстве число, которое спряталось за кругом, является вторым слагаемым. Чтобы найти второе слагаемое, нужно из суммы вычесть первое слагаемое:
68 - 38 = 30.
92. Начерти такие фигуры и вырежи их.
1) Покажи сгибанием, что каждая фигура симметричная.
2) Найди и сравни площади этих фигур.
3) Покажи, как из каждой фигуры, разрезав её на 2 части, можно сложить квадрат.

Повтори, как найти площадь квадрата.
Вычисли.
| 7 200 : 90 | 9 600 : 300 |
Повтори состав многозначных чисел.
Вариант ответа #1:
Решение
7 200 : 90 = 7 200 : (10 • 9) =
= (7 200 : 10) : 9 = 720 : 9 = 80
9 600 : 300 = 9 600 : (100 • 3) =
= (9 600 : 100) : 3 = 96 : 3 = 32
Пояснение
Чтобы выполнить деление представляем делитель в виде произведения двух множителей и делим делимое сначала на первый множитель, а затем полученное частное делим на второй множитель.
Вариант ответа #2:
Решение
7 200 : 90 = 80
9 600 : 300 = 32
Пояснение
7 200 : 90 - это деление 720 десятков на 9 десятков, поэтому вычислим значение с помощью выражения
720 : 9.
9 600 : 300 - это деление 96 сотен на 3 сотни, поэтому вычислим значение с помощью выражения
96 : 3 = 90 : 3 + 6 : 3 = 32.
Ребус

Повтори алгоритм письменного сложения многозначных чисел.
Решение

Пояснение
Складываю единицы: 5 + 7 = 12. Чтобы в ответе получилось 8 в единицах, нужно прибавить 6: 12 + 6 = 18.
18 ед. - это 1 дес. 8 ед.
8 ед. пишу под ед., а 1 дес. запоминаю.
Складываю десятки: 2 + 3 = 5, да ещё 1 дес., который получился при сложении единиц. 5 + 1 = 6. Чтобы в ответе получилось 5 в единицах, нужно прибавить 9: 6 + 9 = 15.
15 дес. - это 1 сот. 5 дес.
5 дес. пишу под десятками, а 1 сот. запоминаю.
Складываю сотни: 8 + 9 = 17, да ещё 1 сот., которая получилась при сложении десятков. 17 + 1 = 18. Чтобы в ответе получилось 1 в единицах, нужно прибавить 3: 18 + 3 = 21.
21 сот. - это 2 ед. тыс. 1 сот.
1 сот. пишу под сотнями, 2 ед. тыс. запоминаю.
Складываю единицы тысяч:
3 + 6 + 7 = 16, да ещё 2 ед. тыс., которые получились при сложении сотен: 16 + 2 = 18. Пишу 8 под единицами тысяч.
Пишу 1 дес. тыс. в десятках тысяч, так как других десятков тысяч для сложения нет.
Вернуться к содержанию учебника