Номер 738 - ГДЗ Математика 5 класс. Мерзляк, Полонский. Учебник. Страница 186

Вернуться к содержанию учебника

Страница 186

735 736 737 738 739 740 741

Вопрос

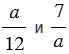
Найдите все натуральные значения , при которых:

1) обе дроби будут правильными;

2) дробь будет правильной, а дробь - неправильной.

Подсказка

Вспомните:

  1. Какое число называется натуральным.
  2. Правильные и неправильные дроби.

Ответ


Вернуться к содержанию учебника