Номер 739 - ГДЗ Математика 5 класс. Мерзляк, Полонский. Учебник. Страница 186

Вернуться к содержанию учебника

Страница 186

736 737 738 739 740 741 742

Вопрос

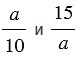
Найдите все натуральные значения , при которых:

1) обе дроби будут неправильными;

2) обе дроби будут неправильными, а дробь - правильной.

Подсказка

Вспомните:

  1. Какое число называется натуральным.
  2. Правильные и неправильные дроби.

Ответ


Вернуться к содержанию учебника