Номер 789 - ГДЗ Математика 5 класс. Мерзляк, Полонский. Учебник. Страница 200

Вернуться к содержанию учебника

Страница 200

786 787 788 789 790 791 792

Вопрос

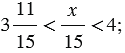
Найдите все натуральные значения , при которых верно неравенство:

1)                2)


Для более ранних редакций смотри задачу 787.

Подсказка

Вспомните:

  1. Что такое дробь.
  2. Сравнение дробей.
  3. Что такое смешанное число.

Ответ


Вернуться к содержанию учебника