Вернуться к содержанию учебника
Страница 200
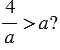
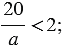
При каких натуральных значениях
является верным неравенство, левая часть которого - неправильная дробь:
1)
2) 
Для более ранних редакций смотри задачу 788.
Вспомните:
Вернуться к содержанию учебника