Номер 1128 - ГДЗ Математика 5 класс. Мерзляк, Полонский. Учебник. Страница 274

Вернуться к содержанию учебника

Страница 274

1125 1126 1127 1128 1129 1130 1131

Вопрос

1) + = 5;

2) + 0,52 = 1;

3) - ;

4) - 4,25 = 3,75;

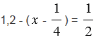
5) ;

6) 2 -   = 1,376;

7) (234 + ) - 456 = 178;

8) ( + 13,216) - 24,83 = 5,17;

9) ( - 4,83) + 0,16 = 3,02;

10) ;

11) (8 164 - ) - 2 398 = 2 557;

12) (20 - ) - ;

13) 0,8 - ( - 0,326) = 0,495;

14) ;

15) 7 000 - (5 210 - ) = 4 569;

16) 5,2 - (6 - ) = 3,258;

17) 80 - ( + 4,097) = 18,36;

18) .

Подсказка

Ответ


Вернуться к содержанию учебника