Вернуться к содержанию учебника
Страница 275
1126 1127 1128 1129 1130 1131 1132 1133 1134 1135 1136
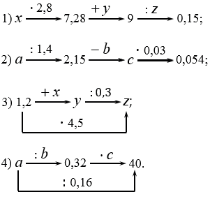
Найдите числа, которых не хватает в цепочке вычислений:
Вспомните: