Вернуться к содержанию учебника
Закончи вычисления с объяснениями.
| 240 • 3 = (200 + 40) • 3 = |
| 203 • 4 = (200 + 3) • 4 = |
| 960 : 3 = (900 + 60) : 3 = |
| 960 : 6 = (600 + 360) : 6 = |
Решение
|
240 • 3 = 24 дес. • 3 = 72 дес. 240 • 3 = (200 + 40) • 3 = = 200 • 3 + 40 • 3 = 720 |
|
203 • 4 = (200 + 3) • 4 = = 200 • 4 + 3 • 4 = 812 |
|
960 : 3 = 96 дес. : 3 = 32 дес. 960 : 3 = (900 + 60) : 3 = = 900 : 3 + 60 : 3 = 300 + 20 = 320 |
|
960 : 6 = 96 дес. : 6 = 16 дес. 960 : 6 = (600 + 360) : 6 = = 600 : 6 + 360 : 6 = 100 + 60 = 160 |
Пояснение
Чтобы умножить сумму на число, можно сначала выполнить сложение, а затем умножить полученный результат на число.
Распределительное свойство: при умножении суммы на число можно умножить на него каждое слагаемое в отдельности и полученные результаты сложить.
Чтобы разделить сумму на какое-нибудь число, можно сначала вычислить значение суммы (выполнить сложение) и полученный результат разделить.
Чтобы разделить сумму на какое-нибудь число, можно разделить на это число каждое слагаемое отдельно и полученные частные сложить.
1. Вычисли с устным объяснением.
| 303 • 2 | 120 • 4 | 42 : 3 | 560 : 4 |
| 205 • 3 | 230 • 3 | 420 : 3 | 840 : 7 |
Решение
| 303 • 2 = (300 + 3) • 2 = 300 • 2 + 3 • 2 = 606 |
| 205 • 3 = (200 + 5) • 3 = 200 • 3 + 5 • 3 = 615 |
|
120 • 4 = 12 дес. • 4 = 48 дес. = 480 120 • 4 = (100 + 20) • 4 = = 100 • 4 + 20 • 4 = 480 |
|
230 • 3 = 23 дес. • 3 = 69 дес. = 690 230 • 3 = (200 + 30) • 3 = = 200 • 3 + 30 • 3 = 690 |
| 42 : 3 = (30 + 12) : 3 = 30 : 3 + 12 : 3 = 14 |
|
420 : 3 = 42 дес. : 3 = 14 дес. = 140 420 : 3 = (300 + 120) : 3 = = 300 : 3 + 120 : 3 = 140 |
|
560 : 4 = 56 дес. : 4 = 14 дес. = 140 560 : 4 = (400 + 160) : 4 = = 400 : 4 + 160 : 4 = 140 |
|
840 : 7 = 84 дес. : 7 = 12 дес. = 120 840 : 7 = (700 + 140) : 7 = = 700 : 7 + 140 : 7 = 120 |
Пояснение
При умножении суммы на число можно умножить на него каждое слагаемое в отдельности и полученные результаты сложить.
Чтобы разделить сумму на какое-нибудь число, можно разделить на это число каждое слагаемое отдельно и полученные частные сложить.
2. Уменьши в 10 раз числа: 560, 690, 700. Полученные числа увеличь на 100.
Выберите год учебника
Стр. 83 учебника 2023-2025:
3. При автоматическом поливе грядок утром расходовали 60 л воды, а вечером - 80 л. Сколько литров израсходовали на полив грядок за неделю? Реши задачу. Измени вопрос задачи так, чтобы в задаче был ответ: на 140 л.
Стр. 83 учебника 2011-2022:
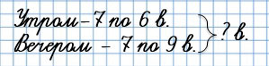
3. Ежедневно на поливку грядок расходовали утром 6 вёдер воды, а вечером 9 вёдер. Сколько вёдер воды израсходовали на поливку грядок за неделю? Реши задачу двумя способами.
Стр. 83 учебника 2023-2025:

Стр. 83 учебника 2011-2022:
Вариант ответа #1:

Вариант ответа #2:
Решение
1 способ:
1) 6 + 9 = 15 (в.) - за день.
2) 15 • 7 = 105 (в.)
Ответ: 105 вёдер воды израсходовали за неделю.
2 способ:
(6 + 9) • 7 = 6 • 7 + 9 • 7 = 105 (в.)
Ответ: 105 вёдер воды израсходовали за неделю.
Пояснение

Чтобы умножить сумму на число, можно сначала выполнить сложение, а затем умножить полученный результат на число.
При умножении суммы на число можно умножить на него каждое слагаемое в отдельности и полученные результаты сложить.
Выберите год учебника
Стр. 83 учебника 2023-2025:
4. Дедушка купил 5 одинаковых пакетов с картофелем, общая масса которых 15 кг. Витя помог дедушке и донёс 2 пакета. Сколько килограммов картофеля нёс Витя? нёс дедушка?
Стр. 83 учебника 2011-2022:
4. Дедушка купил 5 одинаковых пакетов с картофелем, общая масса которых 15 кг. Витя помог дедушке и донёс 2 пакета. Сколько килограммов картофеля нёс Витя?
Стр. 83 учебника 2023-2025:
Решение
1) 15 : 5 = 3 (кг) - в 1 пакете.
2) 3 • 2 = 6 (кг) - нёс Витя.
3) 5 - 2 = 3 (п.) - нёс дедушка.
4) 3 • 3 = 9 (кг)
Ответ: 6 кг картофеля нёс Витя; 9 кг картофеля нёс дедушка.
Пояснение

Сколько килограммов картофеля в 1 пакете?
1) 15 : 5 = 3 (кг)
Сколько килограммов картофеля нём Витя?
2) 3 • 2 = 6 (кг)
Сколько пакетов нёс дедушка?
3) 5 - 2 = 3 (п.)
Сколько килограммов нёс дедушка?
4) 3 • 3 = 9 (кг)
Дедушка купил 5 одинаковых пакетов с картофелем, общая масса которых 15 кг. Вычислим, сколько килограммов картофеля в 1 пакете:
1) 15 : 5 = 3 (кг)
В 1 пакете 3 кг. Витя донёс 2 пакета. Узнаем, сколько килограммов картофеля нёс Витя:
2) 3 • 2 = 6 (кг)
Дедушка купил 5 пакетов, из них 2 пакета донёс Витя. Вычислим, сколько пакетов нёс дедушка:
3) 5 - 2 = 3 (п.)
Дедушка нёс 3 пакета, каждый из который по 3 кг. Узнаем, сколько килограммов нёс дедушка:
4) 3 • 3 = 9 (кг)
Стр. 83 учебника 2011-2022:
Решение
1) 15 : 5 = 3 (кг) - в 1 пакете.
2) 3 • 2 = 6 (кг)
Ответ: 6 кг картофеля нёс Витя.
Пояснение

Сколько килограммов картофеля в 1 пакете?
1) 15 : 5 = 3 (кг)
Сколько килограммов картофеля нёс Витя?
2) 3 • 2 = 6 (кг)
Дедушка купил 5 одинаковых пакетов с картофелем, общая масса которых 15 кг. Вычислим, сколько килограммов картофеля в 1 пакете:
1) 15 : 5 = 3 (кг)
В 1 пакете 3 кг. Витя донёс 2 пакета. Узнаем, сколько килограммов картофеля нёс Витя:
2) 3 • 2 = 6 (кг)
5. На сколько минут дольше длится игра в футбол, чем в баскетбол, если в игре в футбол 2 тайма по 45 мин, а в игре в баскетбол 4 тайма по 10 мин?
Решение
1) 45 • 2 = 90 (мин) - в футбол.
2) 10 • 4 = 40 (мин) - в баскетбол.
3) 90 - 40 = 50 (мин)
Ответ: на 50 мин дольше длится игра в футбол, чем в баскетбол.
Пояснение

Сколько длится игра в футбол?
1) 45 • 2 = 90 (мин)
Сколько длится игра в баскетбол?
2) 10 • 4 = 40 (мин)
На сколько минут дольше длится игра в футбол, чем в баскетбол?
3) 90 - 40 = 50 (мин)
В игре в футбол 2 тайма по 45 мин. Вычислим, сколько длится игра в футбол:
1) 45 • 2 = 90 (мин)
В игра в баскетбол 4 тайма по 10 мин. Вычислим, сколько длится в баскетбол:
2) 10 • 4 = 40 (мин)
Игра в футбол длится 90 мин, игра в баскетбол - 40 мин. Узнаем, на сколько минут дольше длится игра в футбол, чем в баскетбол:
3) 90 - 40 = 50 (мин)
Выберите год учебника
Стр. 83 учебника 2023-2025:
6. 1) Выпиши названия всех треугольников с общей вершиной А.
2) Найди среди этих треугольников равносторонний и подчеркни его название.
3) Верно ли, что отрезок AD является осью симметрии треугольника АВК?
Стр. 83 учебника 2011-2022:
6. 1) Выпиши названия всех треугольников с общей вершиной А.
2) Найди среди этих треугольников равносторонний и подчеркни его название.
3) Верно ли, что отрезок AD является осью симметрии треугольника АВК.

Повтори, какие бывают треугольники.
Решение
BAD, BAK, BAC, DAK, DAC, KAC.
Верно, отрезок AD является осью симметрии треугольника АВК.
Пояснение
Треугольники, у которых все стороны равны, называются равносторонними.
Ось симметрии фигуры - это прямая, которая делит фигуру на две симметричные части (если по этой прямой перегнуть фигуру, то ее части наложатся друг на друга).
7. На двух полках книг было поровну. С верхней полки сначала взяли 2 книги, а затем на неё поставили 8 книг, а на нижнюю полку поставили 4 книги. На сколько больше книг стало на верхней полке, чем на нижней?
Вычисли.
| 92 : 4 | 920 : 4 | 170 • 5 |
Решение
| 92 : 4 = (80 + 12) : 4 = 80 : 4 + 12 : 4 = 20 + 3 = 23 |
|
920 : 4 = 92 дес. : 4 = 23 дес. = 230 920 : 4 = (800 + 120) : 4 = = 800 : 4 + 120 : 4 = 200 + 30 = 230 |
|
170 • 5 = 17 дес. • 5 = 85 дес. = 850 170 • 5 = (100 + 70) • 5 = = 100 • 5 + 70 • 5 = 850 |
Пояснение
При умножении суммы на число можно умножить на него каждое слагаемое в отдельности и полученные результаты сложить.
Чтобы разделить сумму на какое-нибудь число, можно разделить на это число каждое слагаемое отдельно и полученные частные сложить.
Сравни площади закрашенных фигур:

Повтори, как найти площадь фигуры.
Вернуться к содержанию учебника