Вернуться к содержанию учебника
Выберите год учебника
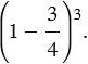
№559 учебника 2018-2020 (стр. 102):
Вычислите: а)
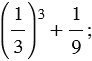
б)
в) 
№559 учебника 2011-2017 (стр. 91):
Куплено 15 кг яблок. На приготовление варенья израсходовали
купленных яблок. Сколько килограммов яблок было израсходовано на варенье? Сколько килограммов яблок осталось?
№559 учебника 2018-2020 (стр. 102):
Вспомните:
№559 учебника 2011-2017 (стр. 91):
Вспомните:
Вернуться к содержанию учебника