Вернуться к содержанию учебника
Выберите год учебника
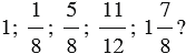
№555 учебника 2018-2020 (стр. 101):
Сравните выражения
и 
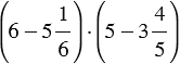
№555 учебника 2011-2017 (стр. 90):
От какого числа надо отнять
, чтобы получить

№555 учебника 2018-2020 (стр. 101):
Вспомните:
№555 учебника 2011-2017 (стр. 90):
Вспомните:
Вернуться к содержанию учебника