Задание 799 - ГДЗ Математика 6 класс. Виленкин, Жохов, Чесноков. Учебник

Старая и новая редакции

Вернуться к содержанию учебника

796 797 798 799 800 801 802

Вопрос

Выберите год учебника

№799 учебника 2018-2020 (стр. 146):

В железной руде на 7 частей железа приходится 3 части примесей. Сколько тонн примесей в руде, которая содержит 73,5 т железа?


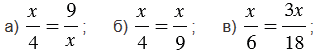
№799 учебника 2011-2017 (стр. 131):

При каком значении верна пропорция:

Подсказка

№799 учебника 2018-2020 (стр. 146):

Вспомните

  1. Прямую пропорциональную зависимость.
  2. Основное свойство пропорции.
  3. Как решают уравнения.
  4. Умножение десятичных дробей.
  5. Деление десятичных дробей.
  6. Сокращение дробей.

№799 учебника 2011-2017 (стр. 131):

Вспомните:

  1. Основное свойство пропорции.
  2. Умножение чисел.

Ответ

№799 учебника 2018-2020 (стр. 146):


№799 учебника 2011-2017 (стр. 131):


Вернуться к содержанию учебника