| Пропорция - это равенство двух отношений. |
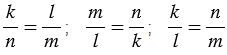
Буквенная запись пропорции:
или
.
Читают пропорцию так: "отношение
к
равно отношению отношению
к
" или "
относится к
, как
относится к
".
Числа, входящие в пропорцию
, имеют специальные названия:
и
- крайние члены пропорции,
и
- средние члены пропорции. Происхождение этих терминов вытекает из строчной записи пропорции:
.

Основное свойство пропорции:
| Произведение крайних членов пропорции равно произведению ее средних членов. |
Буквенная запись свойства: если
, то
.
Если основное свойство пропорции выполняется, то говорят, что пропорция верная.
С помощью основного свойства пропорции любой ее член можно выразить через три других. Это позволяет по трем известным членам пропорции находить неизвестный.
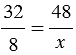
Пример:
Найдем неизвестный член пропорции
.
Решение:
По основному свойству пропорции получим 32
= 8
48. Откуда легко найти неизвестный множитель
:

Если в верной пропорции поменять местами средние члены или крайние, то получившиеся новые пропорции тоже верны.
Пример:
1) Если
- верная пропорция, то
- верные пропорции.
2) Если
- верная пропорция, то
- верные пропорции.
Прямая и обратная пропорциональные зависимости
Длина окружности и площадь круга
6 класс
Номер 616, Мерзляк, Полонский, Якир, Учебник
Номер 623, Мерзляк, Полонский, Якир, Учебник
Номер 686, Мерзляк, Полонский, Якир, Учебник
Номер 726, Мерзляк, Полонский, Якир, Учебник
Задание 844, Виленкин, Жохов, Чесноков, Шварцбург, Учебник
Задание 845, Виленкин, Жохов, Чесноков, Шварцбург, Учебник
Задание 3.116, Виленкин, Жохов, Чесноков, Шварцбург, Учебник, часть 1
Задание Проверочная работа, Виленкин, Жохов, Чесноков, Шварцбург, Учебник, часть 1
Задание 3.142, Виленкин, Жохов, Чесноков, Шварцбург, Учебник, часть 1
Задание 6.124, Виленкин, Жохов, Чесноков, Шварцбург, Учебник, часть 2
7 класс
Номер 405, Мерзляк, Полонский, Якир, Учебник
Номер 406, Мерзляк, Полонский, Якир, Учебник
Номер 1000, Мерзляк, Полонский, Якир, Учебник
8 класс
Номер 230, Мерзляк, Полонский, Якир, Учебник
Номер 580, Мерзляк, Полонский, Якир, Учебник
Номер 858, Мерзляк, Полонский, Якир, Учебник
Упражнение 148, Макарычев, Миндюк, Нешков, Суворова, Учебник
Упражнение 1027, Макарычев, Миндюк, Нешков, Суворова, Учебник
Упражнение 1146, Макарычев, Миндюк, Нешков, Суворова, Учебник
Упражнение 1247, Макарычев, Миндюк, Нешков, Суворова, Учебник
Упражнение 1300, Макарычев, Миндюк, Нешков, Суворова, Учебник
Упражнение 1306, Макарычев, Миндюк, Нешков, Суворова, Учебник
Упражнение 1308, Макарычев, Миндюк, Нешков, Суворова, Учебник
9 класс
Упражнение 87, Макарычев, Миндюк, Нешков, Суворова, Учебник
Упражнение 239, Макарычев, Миндюк, Нешков, Суворова, Учебник
Упражнение 284, Макарычев, Миндюк, Нешков, Суворова, Учебник
Упражнение 415, Макарычев, Миндюк, Нешков, Суворова, Учебник
Упражнение 670, Макарычев, Миндюк, Нешков, Суворова, Учебник
Упражнение 851, Макарычев, Миндюк, Нешков, Суворова, Учебник
Упражнение 863, Макарычев, Миндюк, Нешков, Суворова, Учебник
Упражнение 840, Макарычев, Миндюк, Нешков, Суворова, Учебник
Упражнение 867, Макарычев, Миндюк, Нешков, Суворова, Учебник
Упражнение 868, Макарычев, Миндюк, Нешков, Суворова, Учебник