Задание 5.101 - ГДЗ Математика 6 класс. Виленкин, Жохов. Учебник часть 2. Страница 92

Старая и новая редакции

Вернуться к содержанию учебника

5.98 5.99 5.100 5.101 5.102 5.103 5.104

Вопрос

№5.101 учебника 2023-2024 (стр. 92):

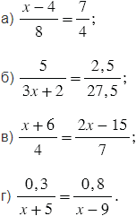
Найдите из пропорции:

Подсказка

Ответ

№5.101 учебника 2023-2024 (стр. 92):


Вернуться к содержанию учебника