Задание 966 - ГДЗ Математика 6 класс. Виленкин, Жохов, Чесноков. Учебник. Страница 162

Старая и новая редакции

Вернуться к содержанию учебника

963 964 965 966 967 968 969

Вопрос

№966 учебника 2011-2017 (стр. 162):

Найдите значение выражения:

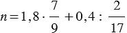
1) , если  и

2) , если и

Подсказка

№966 учебника 2011-2017 (стр. 162):

Вспомните:

  1. Что такое обыкновенные дроби.
  2. Десятичную запись дробных чисел.
  3. Умножение и деление обыкновенных дробей.
  4. Сложение дробей с одинаковыми знаменателями.
  5. Сложение дробей с разными знаменателями.
  6. Сложение и вычитание, умножение десятичных дробей.

Ответ

№966 учебника 2011-2017 (стр. 162):


Вернуться к содержанию учебника