Вернуться к содержанию учебника
№1112 учебника 2011-2017 (стр. 189):
Найдите расстояние в единичных отрезках между точками:
а) А(
7) и В(
3);
б) М(2,3) и N(
4,2);
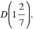
в)
и 
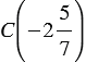
г)
и 
№1112 учебника 2011-2017 (стр. 189):
Вспомните:
Вернуться к содержанию учебника