Вернуться к содержанию учебника
№1172 учебника 2011-2017 (стр. 201):
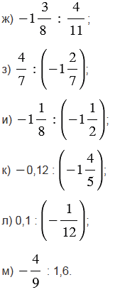
Выполните деление:
а) 57 : (
19);
б)
123 : 41;
в)
147 : (
7);
г) 14,31 : (
2,7);
д)
86,2 : (
0,1);
е)
51,34 : (
1,7);

№1172 учебника 2011-2017 (стр. 201):
Вернуться к содержанию учебника