Задание 1177 - ГДЗ Математика 6 класс. Виленкин, Жохов, Чесноков. Учебник. Страница 202

Старая и новая редакции

Вернуться к содержанию учебника

1174 1175 1176 1177 1178 1179 1180

Вопрос

№1177 учебника 2011-2017 (стр. 202):

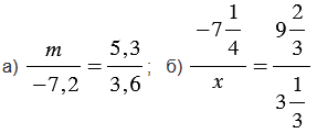
Решите уравнение: .

Подсказка

№1177 учебника 2011-2017 (стр. 202):

Ответ

№1177 учебника 2011-2017 (стр. 202):


Вернуться к содержанию учебника